Официальное опубликование правовых актов
ОФИЦИАЛЬНОЕ ОПУБЛИКОВАНИЕ
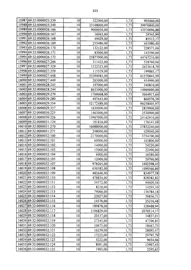
Приказ Министерства имущественных и земельных отношений Тверской области от 25.11.2020 № 7-нп
"Об утверждении результатов определения кадастровой стоимости земельных участков в составе земель лесного фонда и водного фонда Тверской области"
Номер опубликования: 6901202011250001
Дата опубликования: 25.11.2020
Страница №323 из 380:
Увеличить