Официальное опубликование правовых актов
ОФИЦИАЛЬНОЕ ОПУБЛИКОВАНИЕ
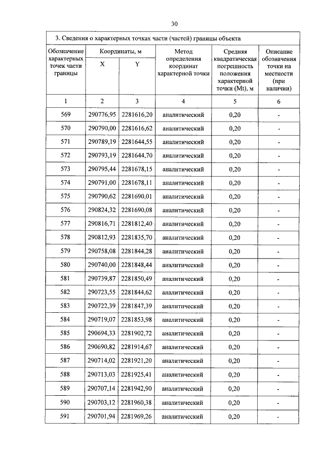
Приказ Министерства природных ресурсов и экологии Тверской области от 26.06.2020 № 3-нп
"Об установлении границ лесопаркового зеленого пояса города Твери"
Номер опубликования: 6901202006300005
Дата опубликования: 30.06.2020
Страница №30 из 42:
Увеличить