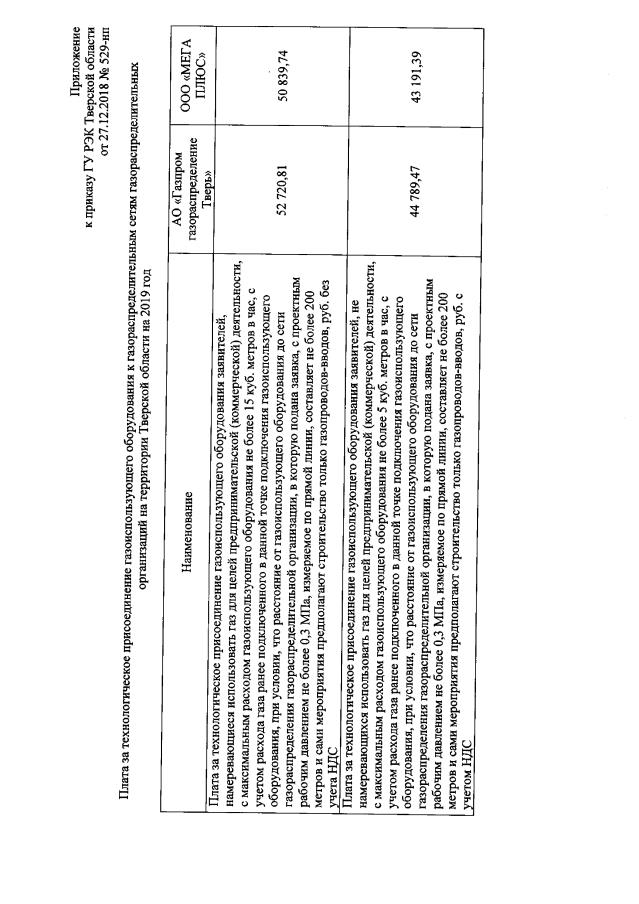
Приказ Главного управления "Региональная энергетическая комиссия" Тверской области от 27.12.2018 № 529-нп
"Об установлении платы за технологическое присоединение газоиспользующего оборудования к газораспределительным сетям на территории Тверской области на 2019 год"
"Об установлении платы за технологическое присоединение газоиспользующего оборудования к газораспределительным сетям на территории Тверской области на 2019 год"
Номер опубликования: 6901201812280016
Дата опубликования:
28.12.2018
