Распоряжение Правительства Тверской области от 13.01.2026 № 3-рп
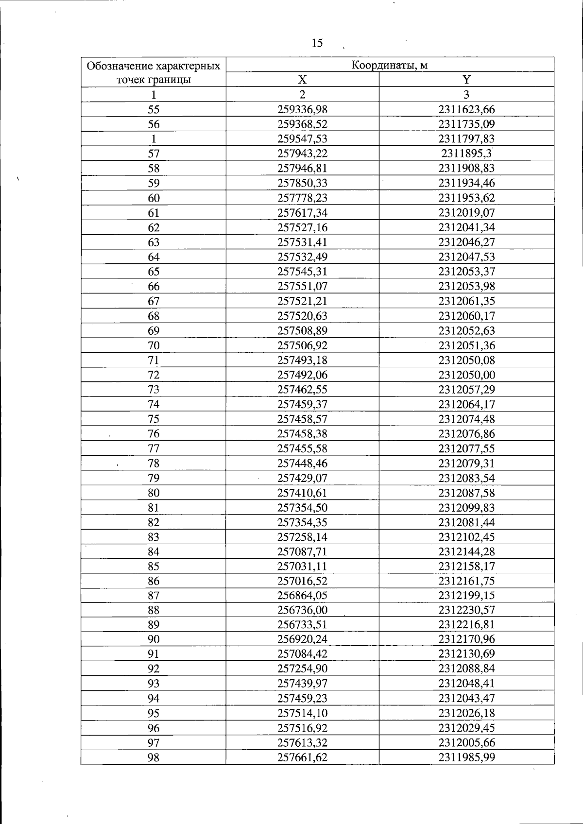
"Об утверждении документации по планировке территории для реконструкции объектов филиала ПАО "Россети Центр" – "Тверьэнерго" в рамках инвестиционного проекта "Создание высокоскоростной железнодорожной магистрали Санкт-Петербург – Москва (участок Крюково (Алабушево) – (Обухово)". 6 этап – строительство участка Новая Тверь ВСМ (вкл.) – Высоково ВСМ (искл.). (Соглашение о компенсации № 6900/10039/24 от 18.10.2024)"
"Об утверждении документации по планировке территории для реконструкции объектов филиала ПАО "Россети Центр" – "Тверьэнерго" в рамках инвестиционного проекта "Создание высокоскоростной железнодорожной магистрали Санкт-Петербург – Москва (участок Крюково (Алабушево) – (Обухово)". 6 этап – строительство участка Новая Тверь ВСМ (вкл.) – Высоково ВСМ (искл.). (Соглашение о компенсации № 6900/10039/24 от 18.10.2024)"
Номер опубликования: 6900202601130002
Дата опубликования:
13.01.2026
