Официальное опубликование правовых актов
ОФИЦИАЛЬНОЕ ОПУБЛИКОВАНИЕ
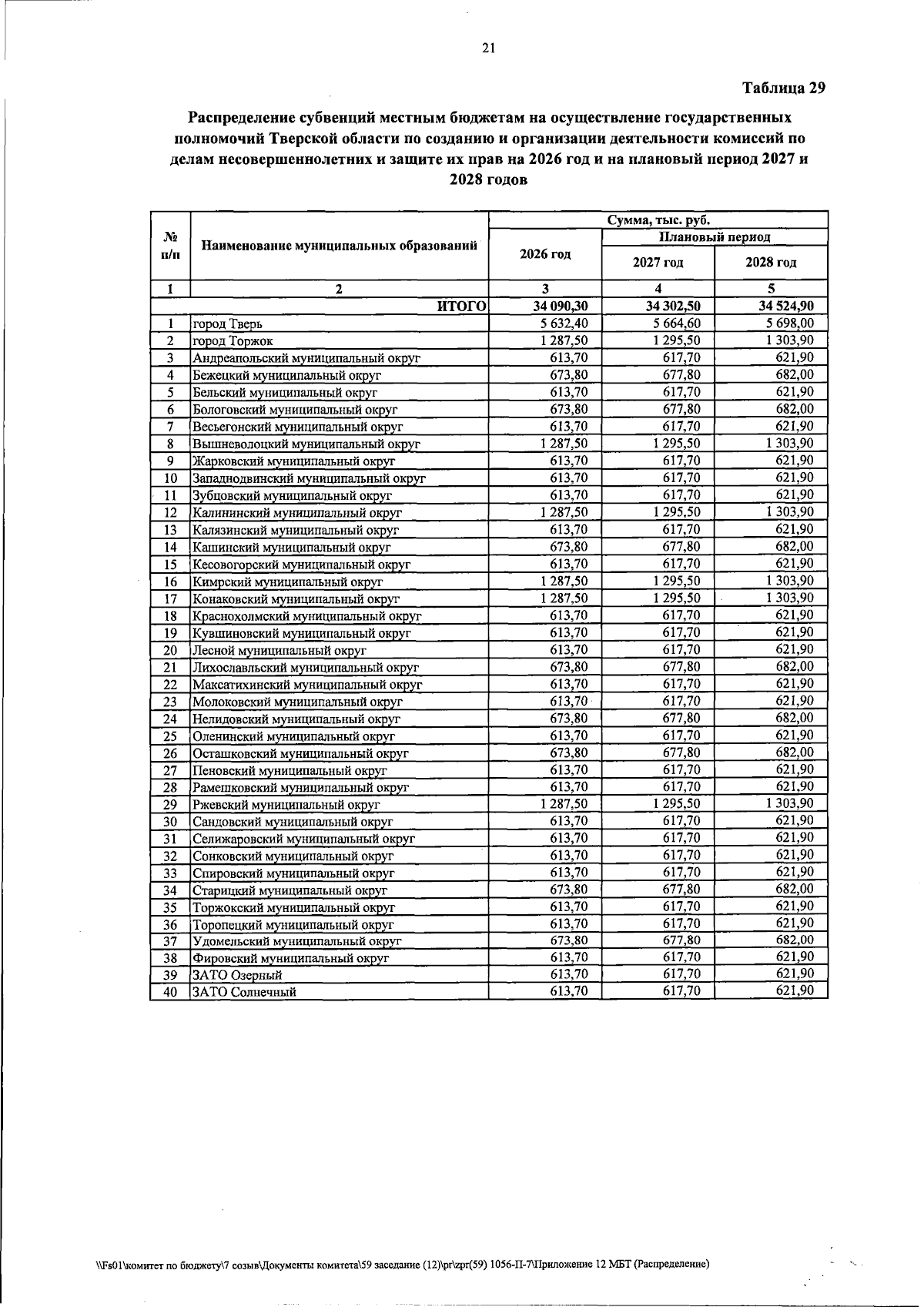
Закон Тверской области от 26.12.2025 № 84-ЗО
"Об областном бюджете Тверской области на 2026 год и на плановый период 2027 и 2028 годов"
Номер опубликования: 6900202512260010
Дата опубликования: 26.12.2025
Страница №400 из 456:
Увеличить