Официальное опубликование правовых актов
ОФИЦИАЛЬНОЕ ОПУБЛИКОВАНИЕ
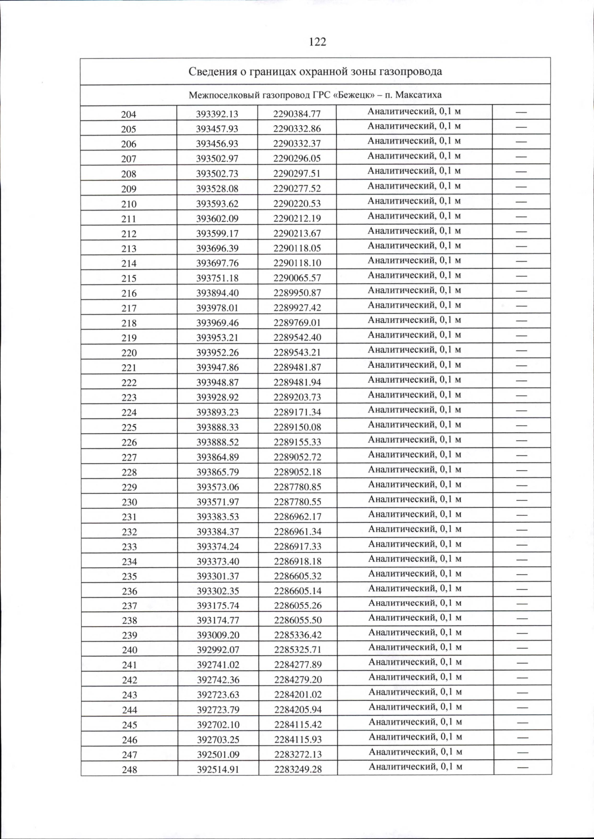
Постановление Правительства Тверской области от 06.10.2025 № 561-пп
"Об установлении охранных зон газопроводов"
Номер опубликования: 6900202510090001
Дата опубликования: 09.10.2025
Страница №122 из 375:
Увеличить