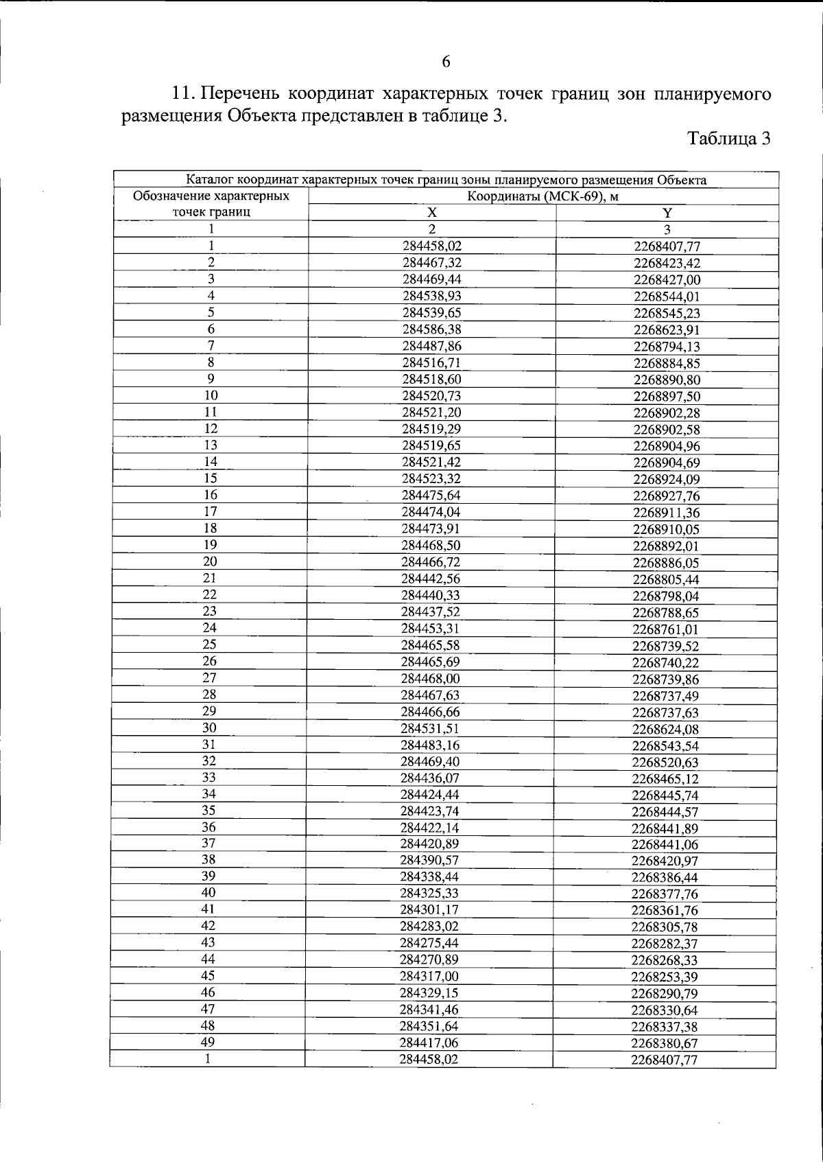
Распоряжение Правительства Тверской области от 12.09.2025 № 1537-рп
"Об утверждении документации по планировке территории линейного объекта "Реконструкция ВЛ 110 кВ филиала ПАО "Россети Центр" – "Тверьэнерго" в рамках реализации проекта "Создание высокоскоростной железнодорожной магистрали Санкт-Петербург –Москва (участок Крюково (Алабушево) – (Обухово)". 5 этап – Строительство участка Логовежь ВСМ (вкл.) – Новая Тверь ВСМ (искл.). ПК4862+68.ВЛ 110 кВ Лебедево – Заднее Поле с отпайкой на ПС Пушкино"
"Об утверждении документации по планировке территории линейного объекта "Реконструкция ВЛ 110 кВ филиала ПАО "Россети Центр" – "Тверьэнерго" в рамках реализации проекта "Создание высокоскоростной железнодорожной магистрали Санкт-Петербург –Москва (участок Крюково (Алабушево) – (Обухово)". 5 этап – Строительство участка Логовежь ВСМ (вкл.) – Новая Тверь ВСМ (искл.). ПК4862+68.ВЛ 110 кВ Лебедево – Заднее Поле с отпайкой на ПС Пушкино"
Номер опубликования: 6900202509150030
Дата опубликования:
15.09.2025
