Официальное опубликование правовых актов
ОФИЦИАЛЬНОЕ ОПУБЛИКОВАНИЕ
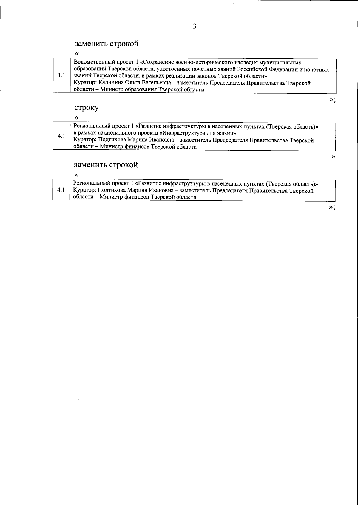
Постановление Правительства Тверской области от 03.09.2025 № 465-пп
"О внесении изменений в постановление Правительства Тверской области от 29.08.2024 № 395-пп"
Номер опубликования: 6900202509040009
Дата опубликования: 04.09.2025
Страница №3 из 30:
Увеличить