Официальное опубликование правовых актов
ОФИЦИАЛЬНОЕ ОПУБЛИКОВАНИЕ
Распоряжение Правительства Тверской области от 11.06.2025 № 919-рп
"Об утверждении документации по планировке территории для размещения жилой застройки на земельных участках, расположенных по адресу: Тверская область, Калининский муниципальный округ, д. Кривцово"
Номер опубликования: 6900202506160015
Дата опубликования: 16.06.2025
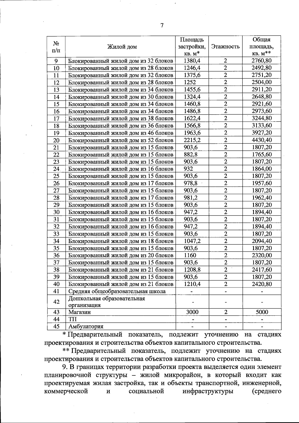
Страница №7 из 34:
Увеличить