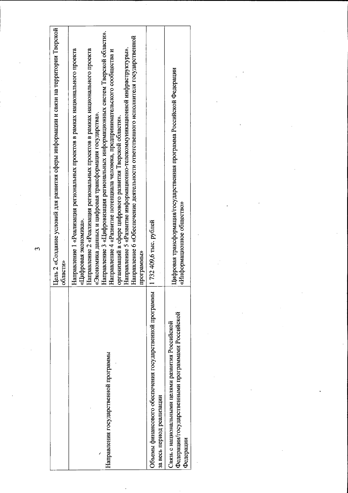
Постановление Правительства Тверской области от 13.05.2025 № 260-пп
"О государственной программе Тверской области "Цифровое развитие и информационные технологии в Тверской области"
"О государственной программе Тверской области "Цифровое развитие и информационные технологии в Тверской области"
Номер опубликования: 6900202505140009
Дата опубликования:
14.05.2025
