Официальное опубликование правовых актов
ОФИЦИАЛЬНОЕ ОПУБЛИКОВАНИЕ
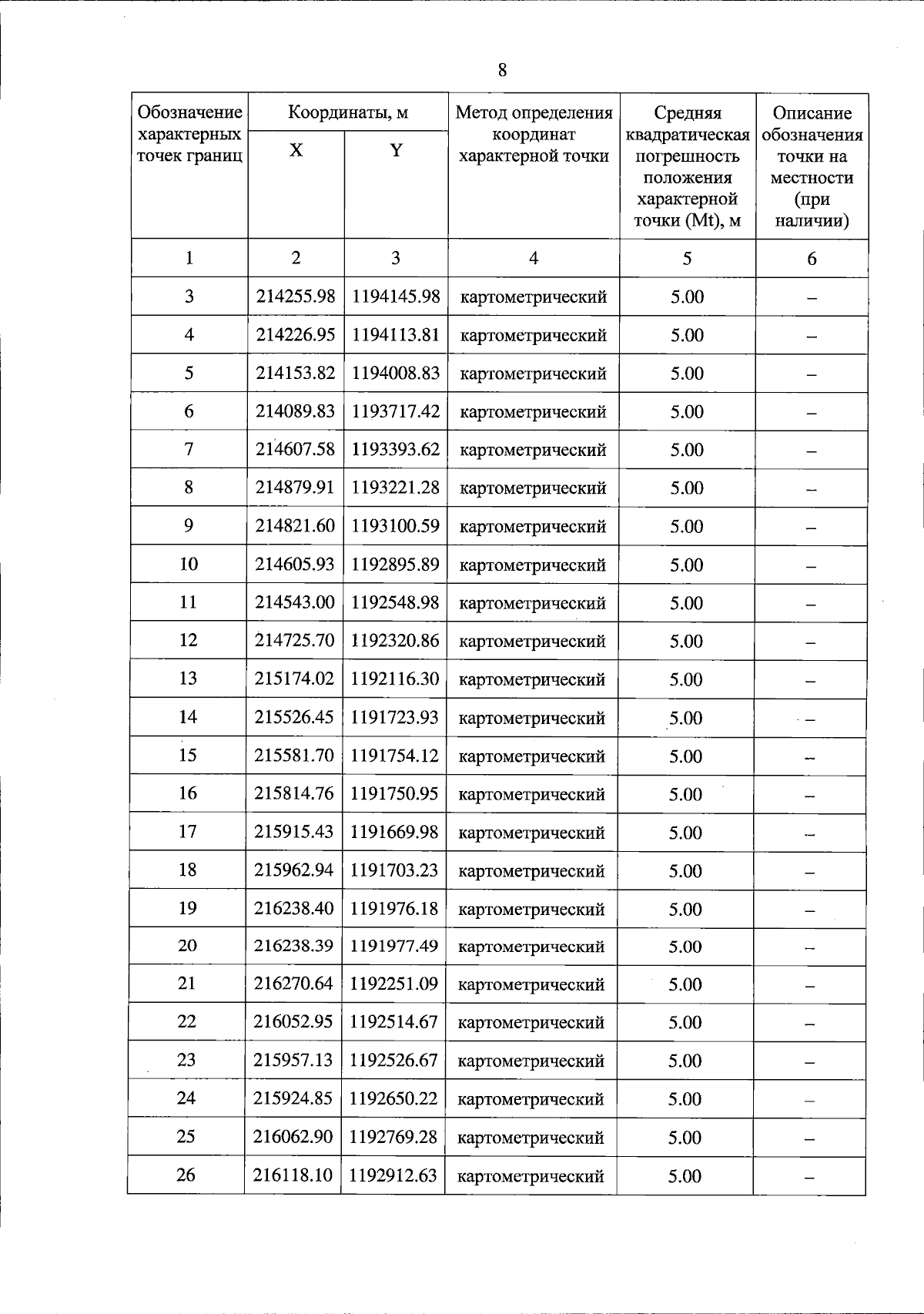
Постановление Правительства Тверской области от 26.02.2025 № 111-пп
"Об утверждении Положения об особо охраняемой природной территории регионального значения – государственном природном заказнике "Болото Антохинское"
Номер опубликования: 6900202502270026
Дата опубликования: 27.02.2025
Страница №8 из 11:
Увеличить