Официальное опубликование правовых актов
ОФИЦИАЛЬНОЕ ОПУБЛИКОВАНИЕ
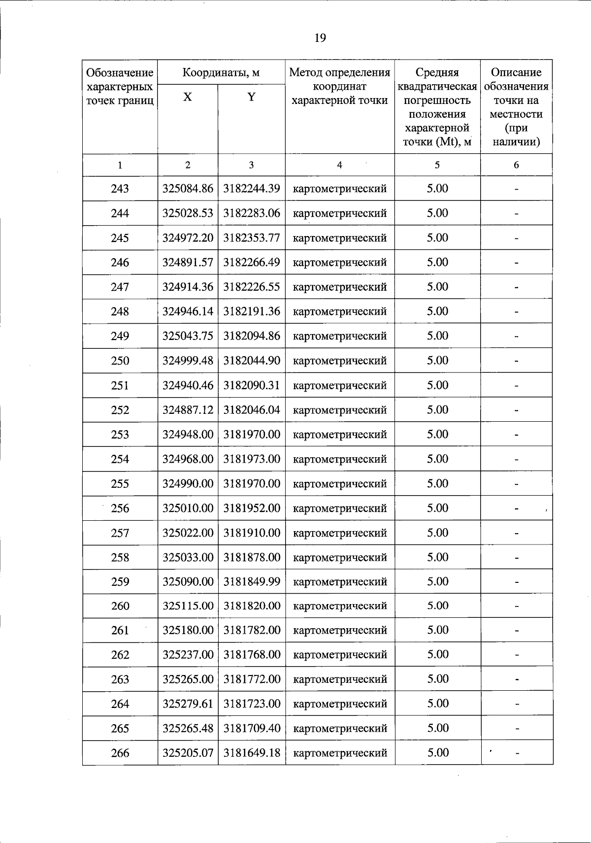
Постановление Правительства Тверской области от 26.02.2025 № 117-пп
"Об особо охраняемой природной территории регионального значения – государственном природном заказнике "Болото Чистый Мох"
Номер опубликования: 6900202502270011
Дата опубликования: 27.02.2025
Страница №19 из 24:
Увеличить