Официальное опубликование правовых актов
ОФИЦИАЛЬНОЕ ОПУБЛИКОВАНИЕ
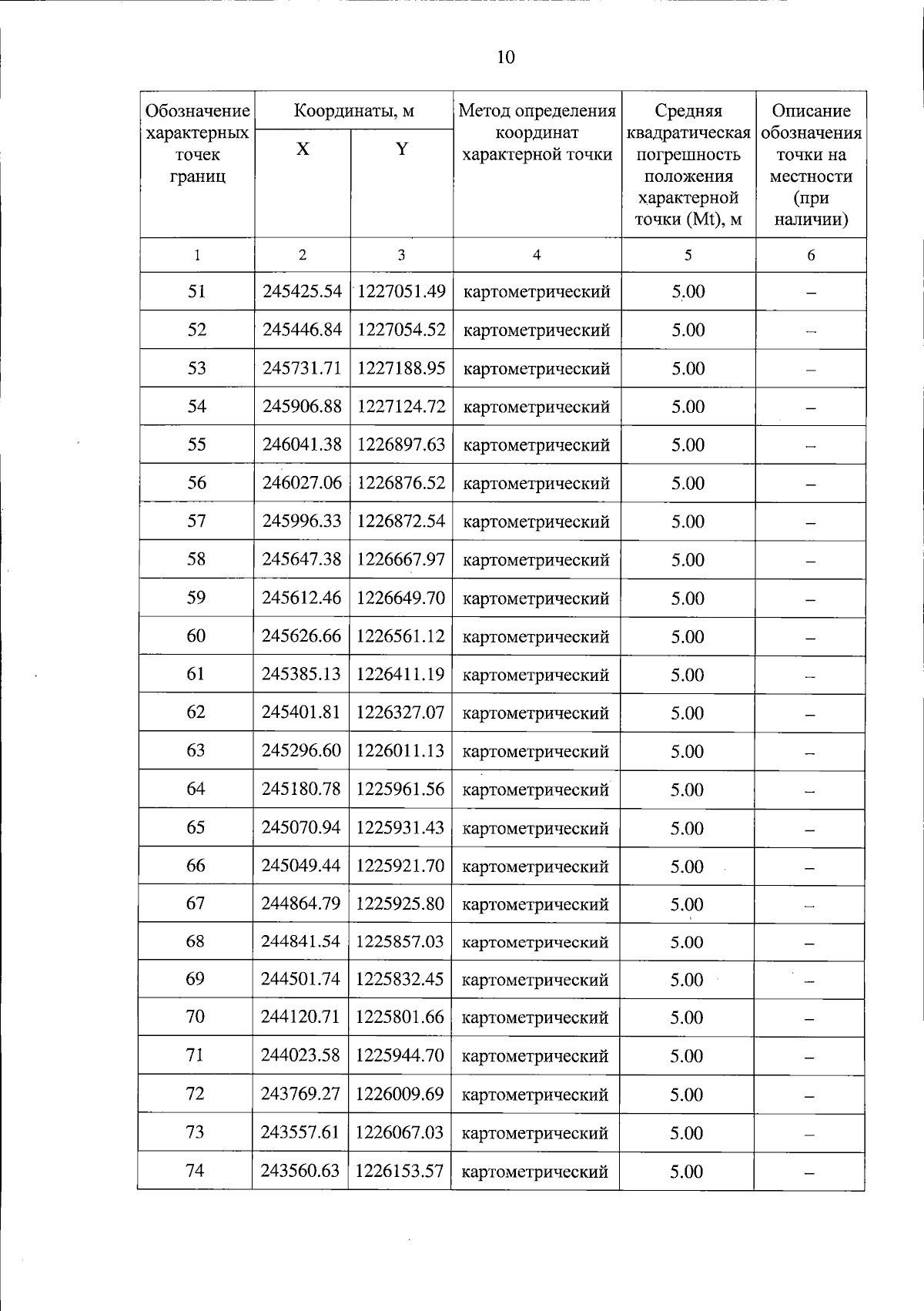
Постановление Правительства Тверской области от 26.02.2025 № 123-пп
"Об утверждении Паспорта особо охраняемой природной территории регионального значения – памятника природы "Павловский бор"
Номер опубликования: 6900202502270008
Дата опубликования: 27.02.2025
Страница №10 из 14:
Увеличить