Официальное опубликование правовых актов
ОФИЦИАЛЬНОЕ ОПУБЛИКОВАНИЕ
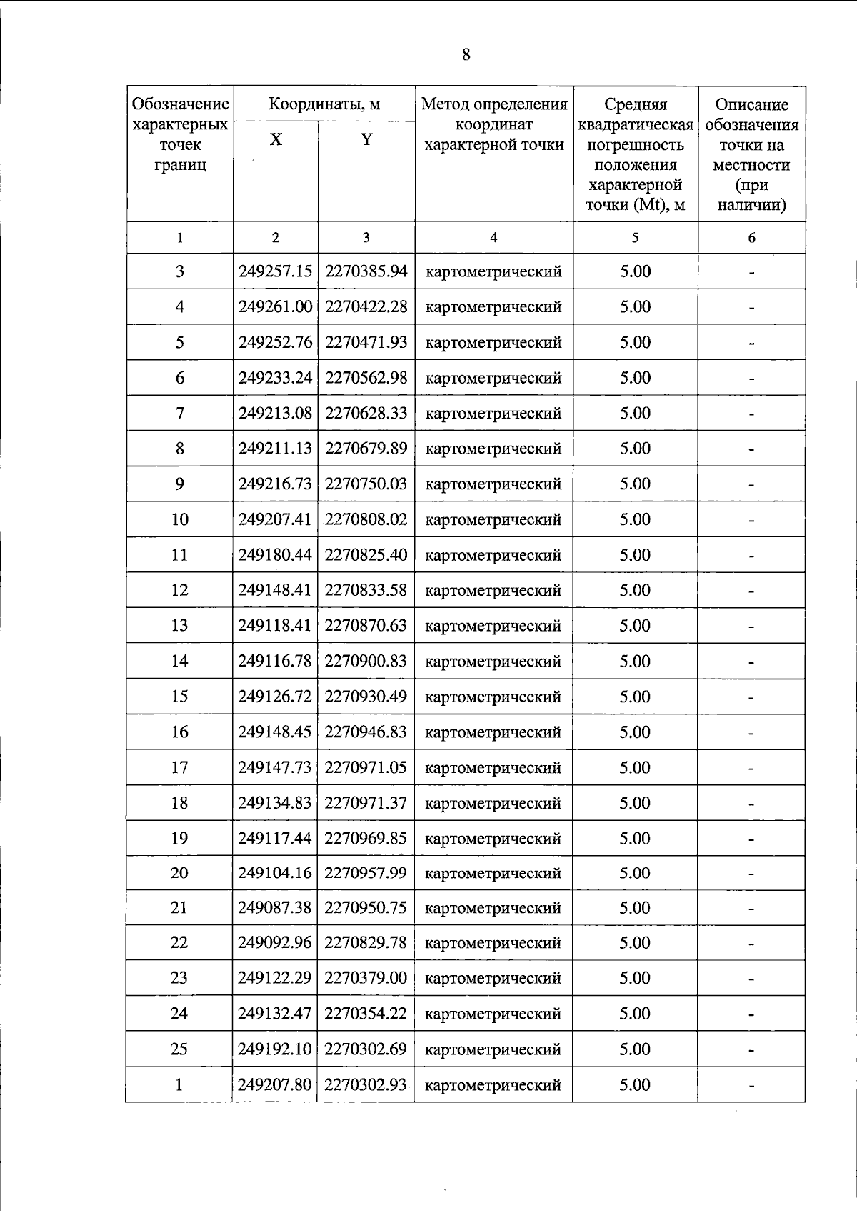
Постановление Правительства Тверской области от 24.01.2025 № 47-пп
"Об утверждении Паспорта особо охраняемой природной территории регионального значения – памятника природы "Акулькина роща"
Номер опубликования: 6900202501270009
Дата опубликования: 27.01.2025
Страница №8 из 10:
Увеличить