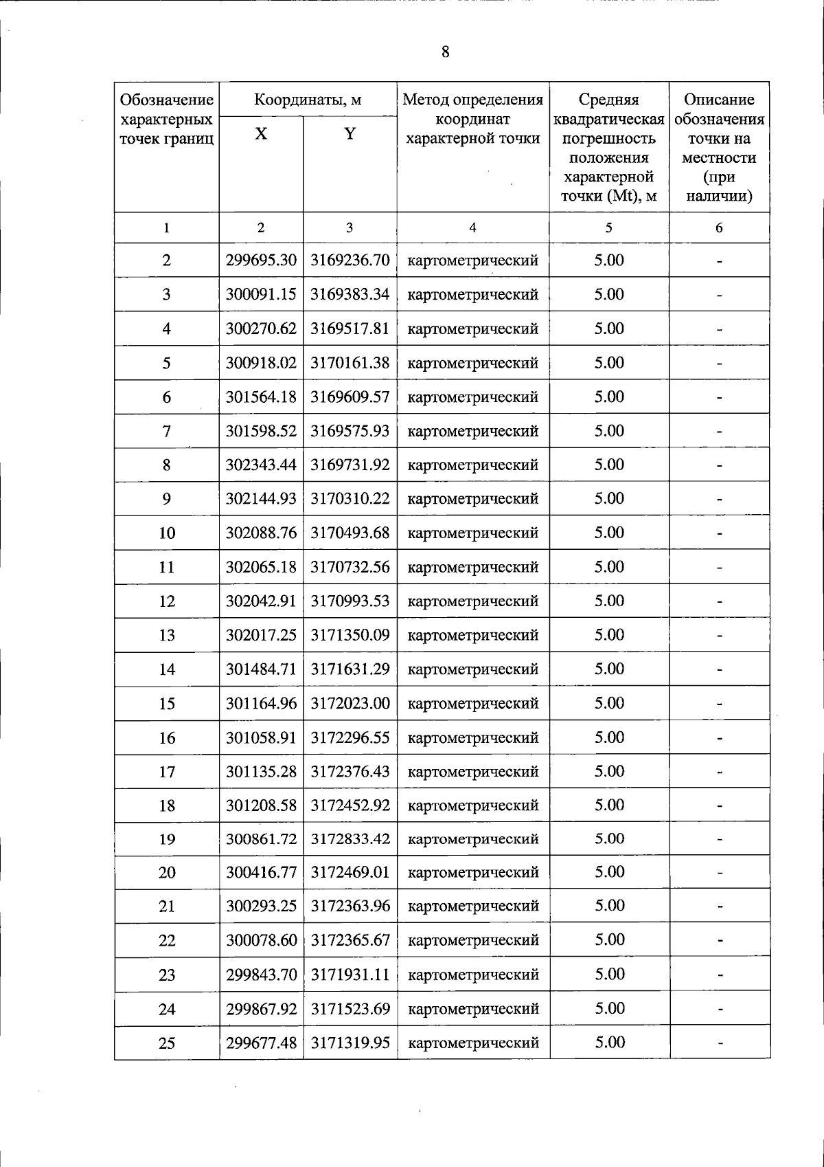
Постановление Правительства Тверской области от 24.01.2025 № 48-пп
"Об особо охраняемой природной территории регионального значения – государственном природном заказнике "Болото Заводское"
"Об особо охраняемой природной территории регионального значения – государственном природном заказнике "Болото Заводское"
Номер опубликования: 6900202501270007
Дата опубликования:
27.01.2025
