Официальное опубликование правовых актов
ОФИЦИАЛЬНОЕ ОПУБЛИКОВАНИЕ
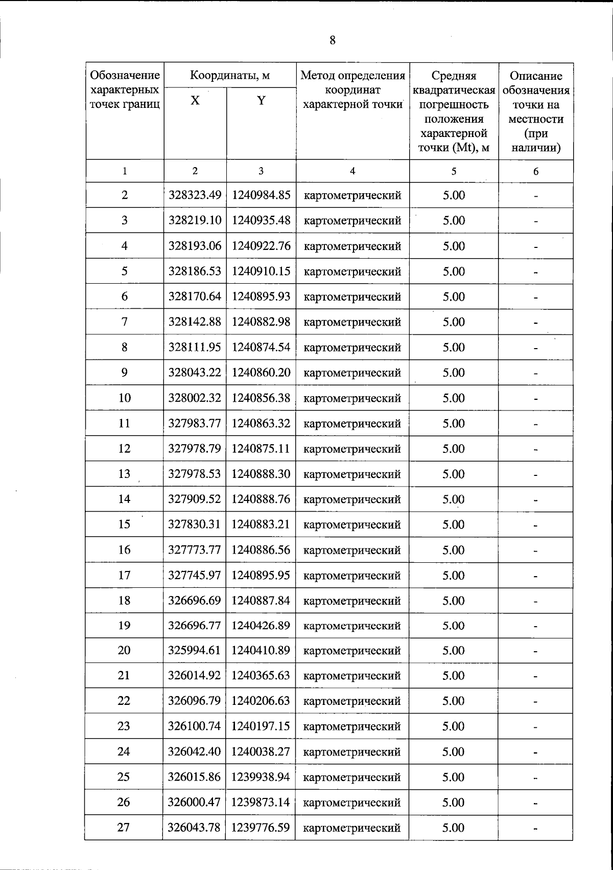
Постановление Правительства Тверской области от 24.01.2025 № 50-пп
"Об особо охраняемой природной территории регионального значения – государственном природном заказнике "Водоохранные насаждения вокруг озера Меглинское и реки Меглинка"
Номер опубликования: 6900202501270006
Дата опубликования: 27.01.2025
Страница №8 из 12:
Увеличить