Официальное опубликование правовых актов
ОФИЦИАЛЬНОЕ ОПУБЛИКОВАНИЕ
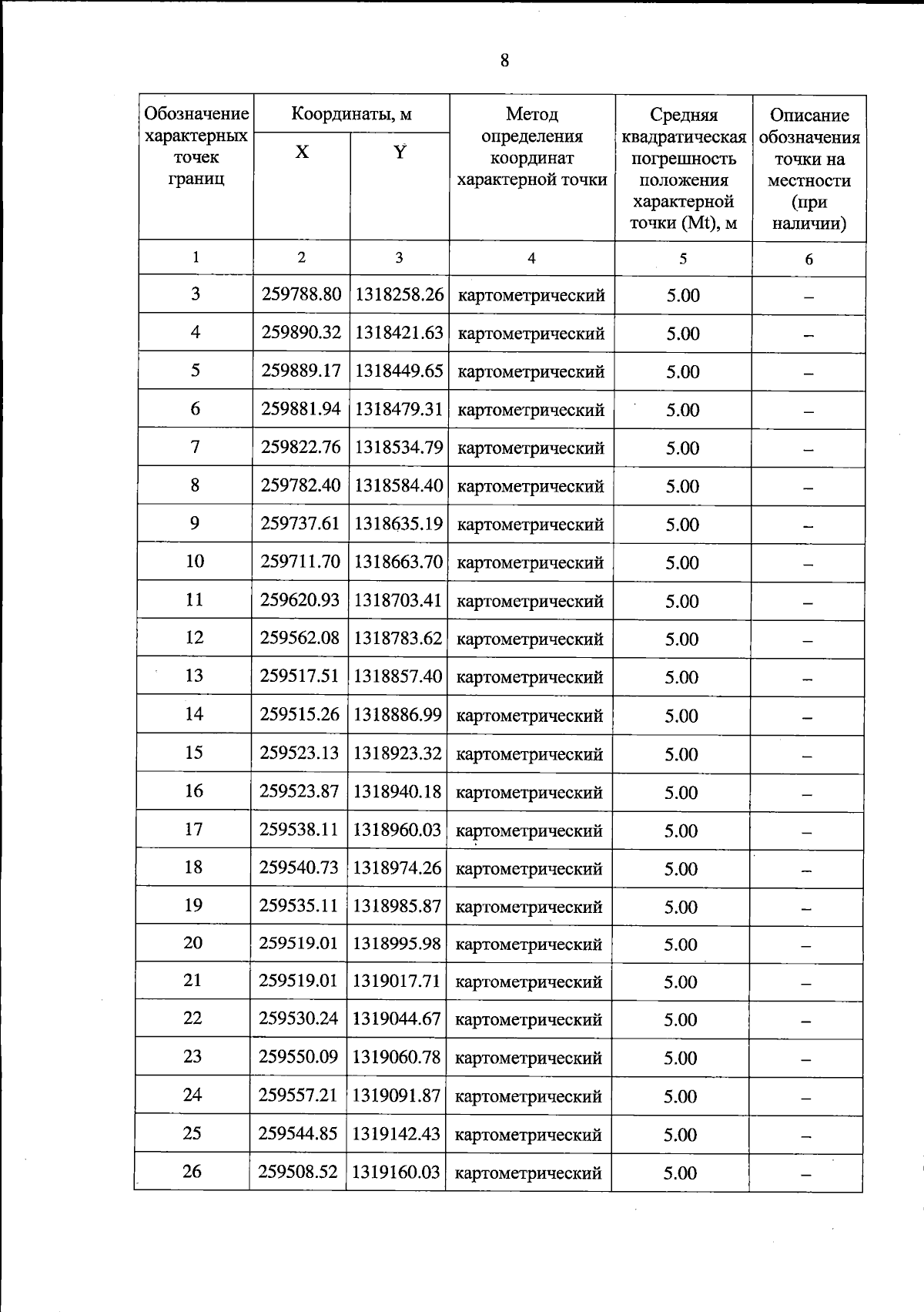
Постановление Правительства Тверской области от 24.01.2025 № 51-пп
"Об особо охраняемой природной территории регионального значения – государственном природном заказнике "Болото Гниловское"
Номер опубликования: 6900202501270005
Дата опубликования: 27.01.2025
Страница №8 из 14:
Увеличить