Официальное опубликование правовых актов
ОФИЦИАЛЬНОЕ ОПУБЛИКОВАНИЕ
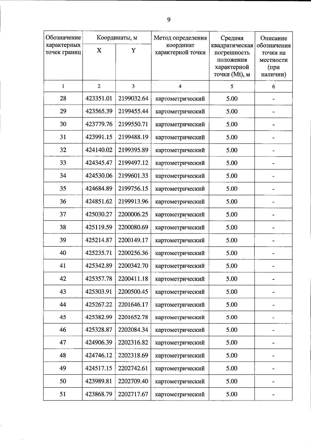
Постановление Правительства Тверской области от 24.01.2025 № 53-пп
"Об особо охраняемой природной территории регионального значения – государственном природном заказнике "Болото Тереховское"
Номер опубликования: 6900202501270003
Дата опубликования: 27.01.2025
Страница №9 из 12:
Увеличить