Официальное опубликование правовых актов
ОФИЦИАЛЬНОЕ ОПУБЛИКОВАНИЕ
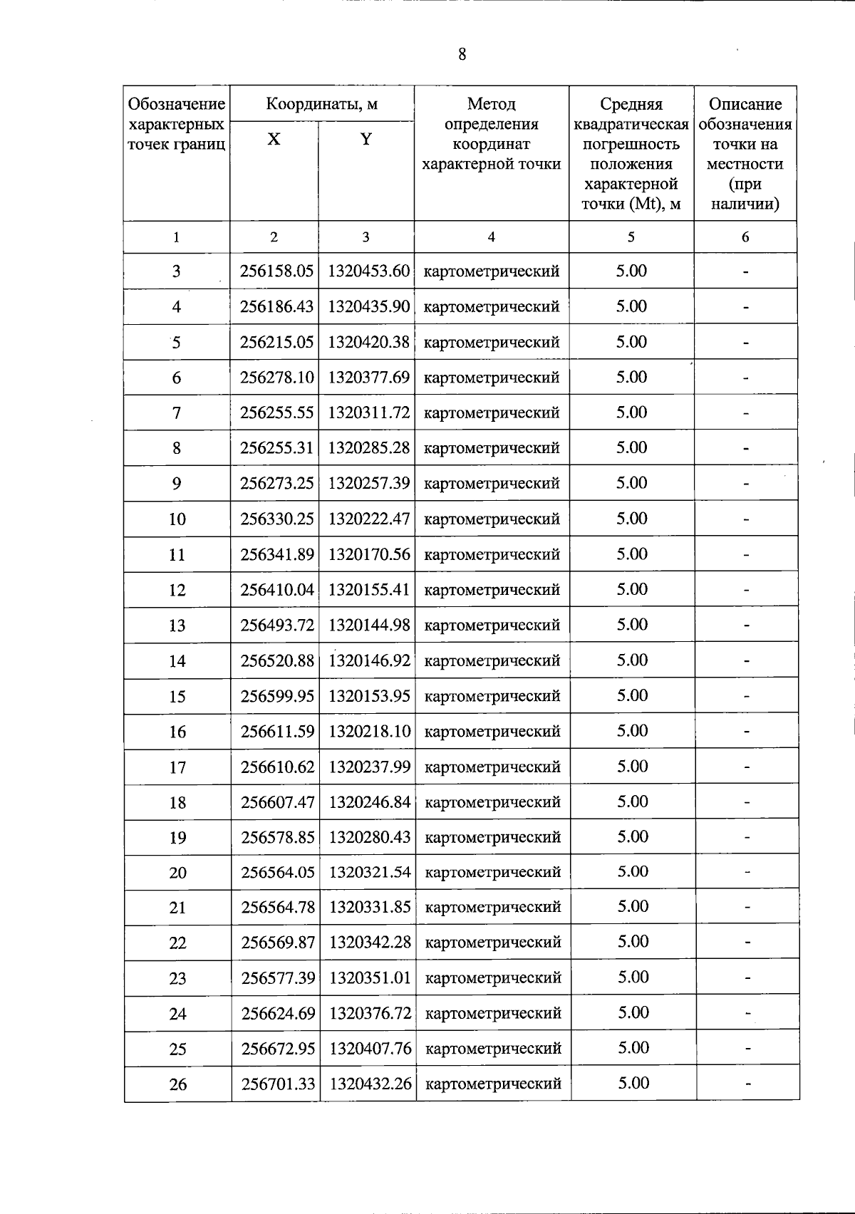
Постановление Правительства Тверской области от 23.01.2025 № 20-пп
"Об особо охраняемой природной территории регионального значения –государственном природном заказнике "Болото Мох Красная Гора"
Номер опубликования: 6900202501240018
Дата опубликования: 24.01.2025
Страница №8 из 14:
Увеличить