Официальное опубликование правовых актов
ОФИЦИАЛЬНОЕ ОПУБЛИКОВАНИЕ
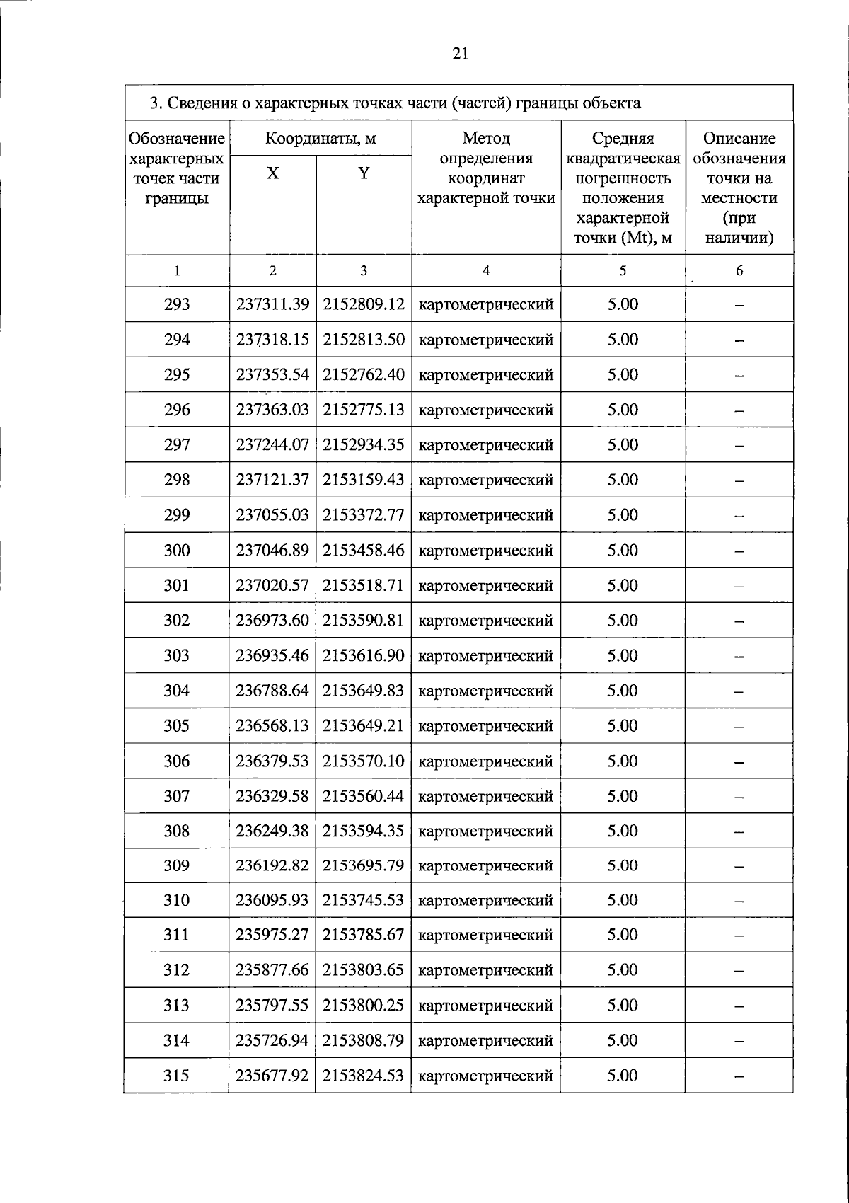
Постановление Правительства Тверской области от 23.01.2025 № 17-пп
"Об особо охраняемой природной территории регионального значения – государственном природном заказнике "Дача Титов Бор"
Номер опубликования: 6900202501240014
Дата опубликования: 24.01.2025
Страница №21 из 41:
Увеличить