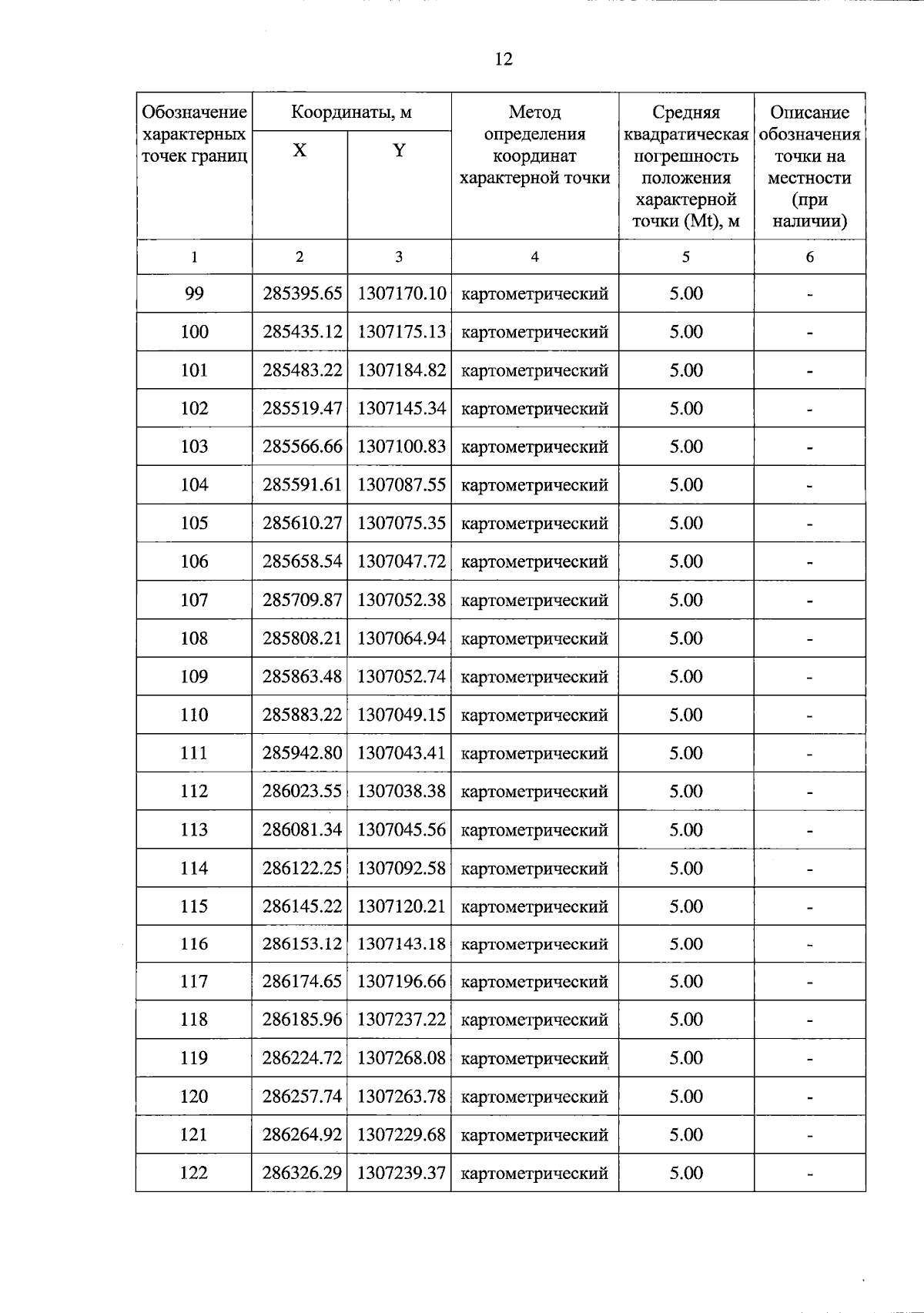
Постановление Правительства Тверской области от 23.01.2025 № 18-пп
"Об особо охраняемой природной территории регионального значения – государственном природном заказнике "Болото Мох Коча"
"Об особо охраняемой природной территории регионального значения – государственном природном заказнике "Болото Мох Коча"
Номер опубликования: 6900202501240013
Дата опубликования:
24.01.2025
