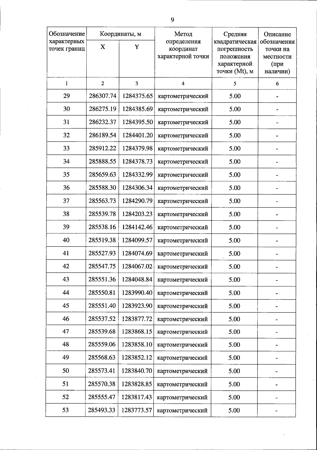
Постановление Правительства Тверской области от 23.01.2025 № 19-пп
"Об особо охраняемой природной территории регионального значения – государственном природном заказнике "Болото Мишковский Мох"
"Об особо охраняемой природной территории регионального значения – государственном природном заказнике "Болото Мишковский Мох"
Номер опубликования: 6900202501240012
Дата опубликования:
24.01.2025
