Официальное опубликование правовых актов
ОФИЦИАЛЬНОЕ ОПУБЛИКОВАНИЕ
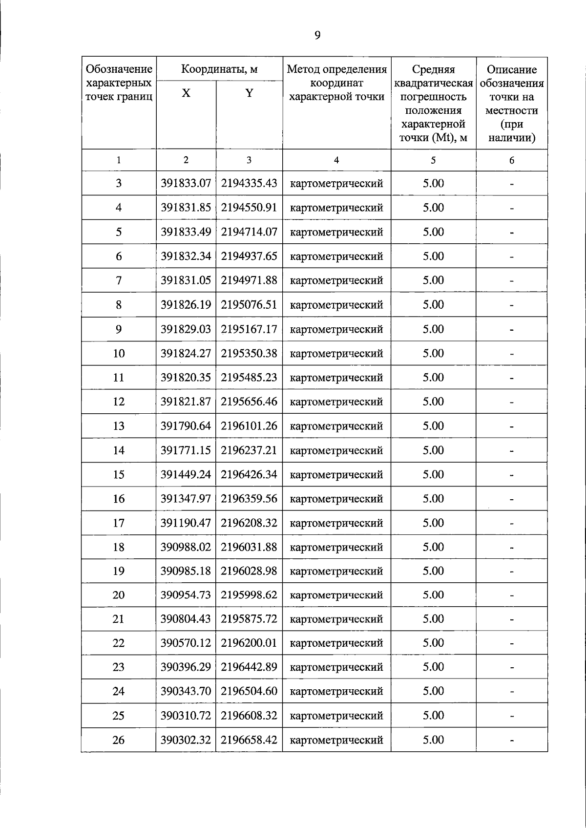
Постановление Правительства Тверской области от 23.01.2025 № 11-пп
"Об особо охраняемой природной территории регионального значения – государственном природном заказнике "Болото у озера Пудоро"
Номер опубликования: 6900202501240007
Дата опубликования: 24.01.2025
Страница №9 из 14:
Увеличить