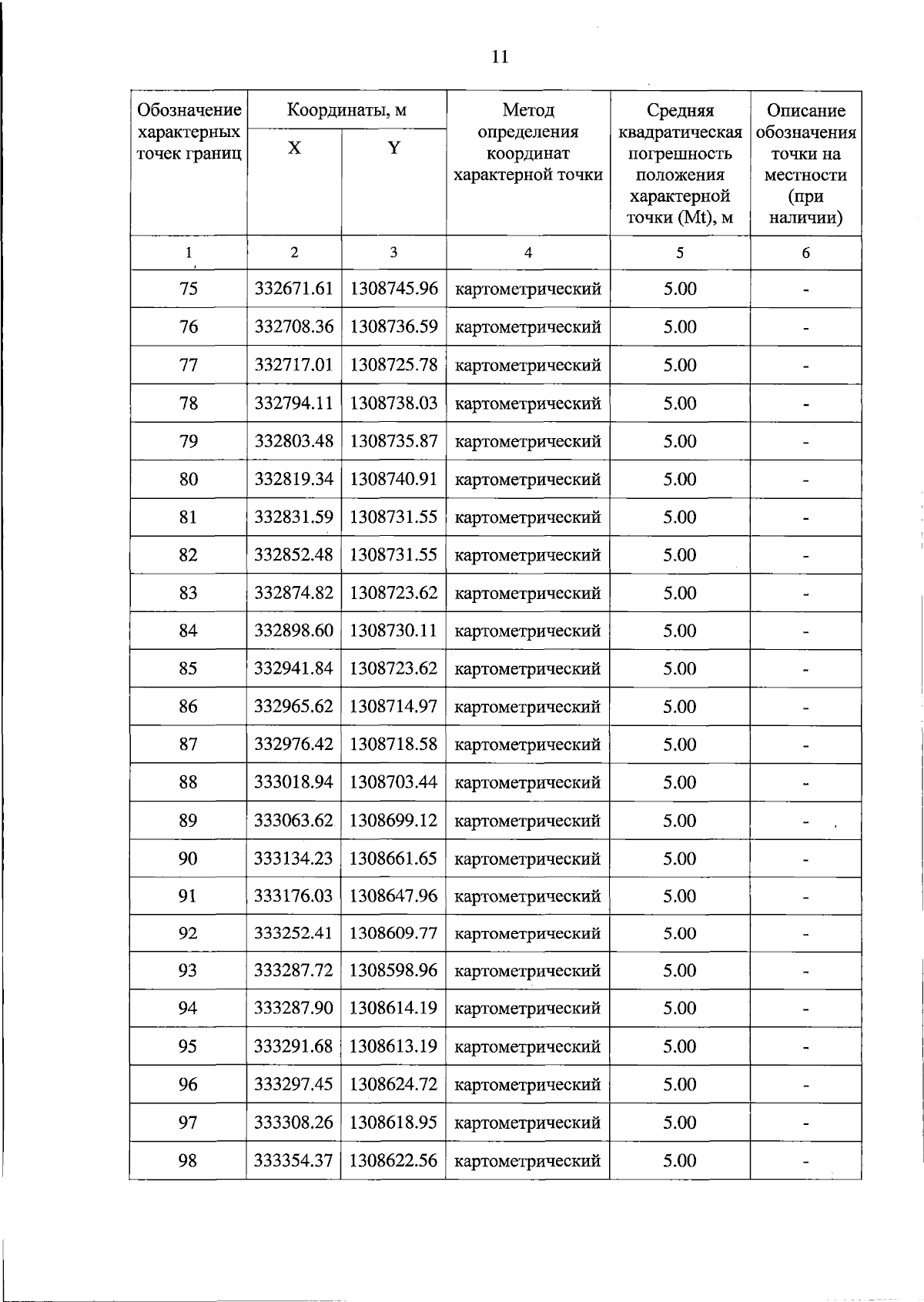
Постановление Правительства Тверской области от 13.01.2025 № 5-пп
"Об особо охраняемой природной территории регионального значения – памятнике природы "Гнездовье скопы на озере Сонино"
"Об особо охраняемой природной территории регионального значения – памятнике природы "Гнездовье скопы на озере Сонино"
Номер опубликования: 6900202501140003
Дата опубликования:
14.01.2025
