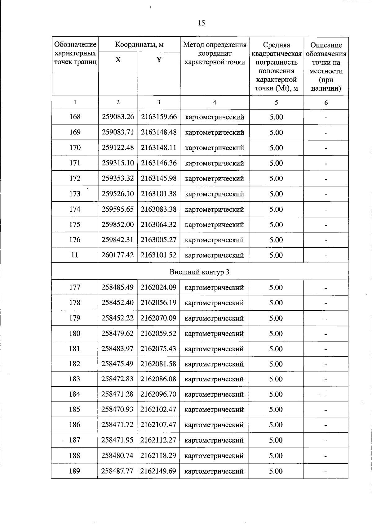
Постановление Правительства Тверской области от 13.01.2025 № 4-пп
"Об особо охраняемой природной территории регионального значения – памятнике природы "Лесной массив у села Ильи Горы"
"Об особо охраняемой природной территории регионального значения – памятнике природы "Лесной массив у села Ильи Горы"
Номер опубликования: 6900202501140001
Дата опубликования:
14.01.2025
