Официальное опубликование правовых актов
ОФИЦИАЛЬНОЕ ОПУБЛИКОВАНИЕ
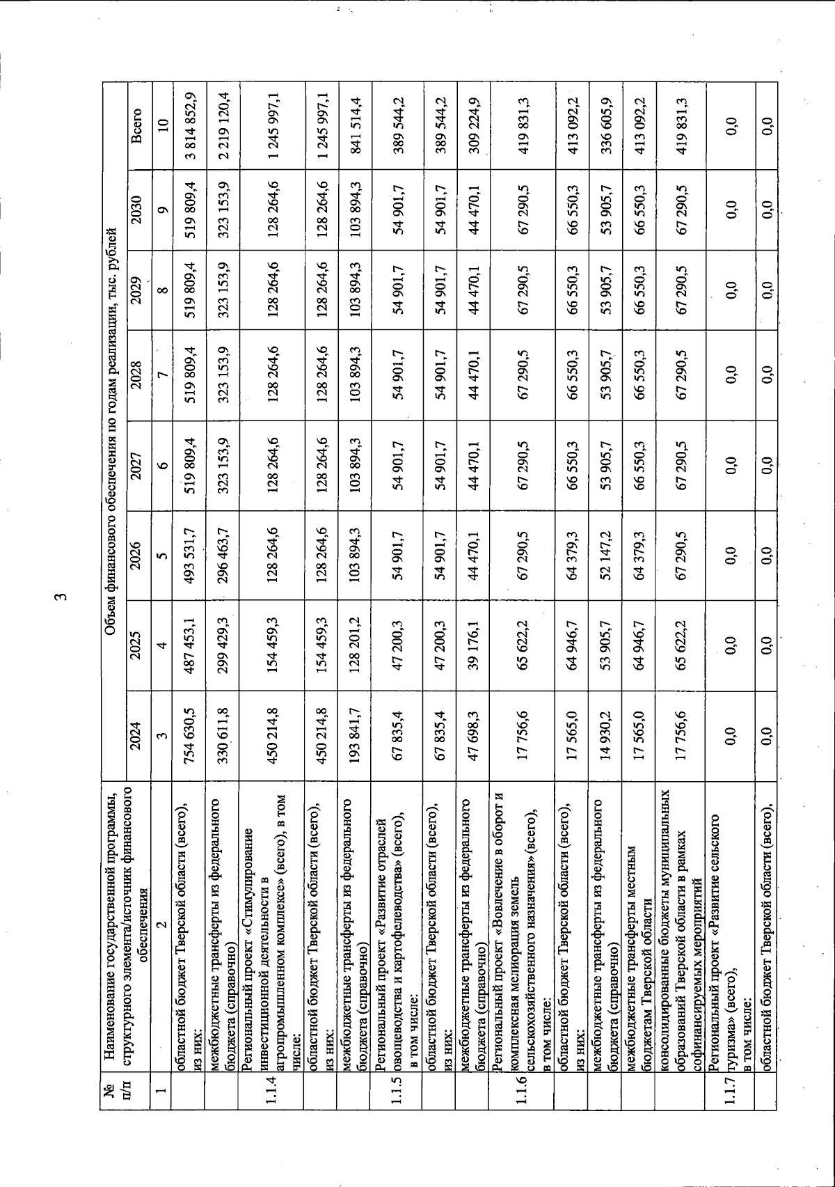
Постановление Правительства Тверской области от 25.12.2024 № 631-пп
"О внесении изменений в постановление Правительства Тверской области от 21.02.2024 № 63-пп"
Номер опубликования: 6900202412260023
Дата опубликования: 26.12.2024
Страница №3 из 25:
Увеличить