Официальное опубликование правовых актов
ОФИЦИАЛЬНОЕ ОПУБЛИКОВАНИЕ
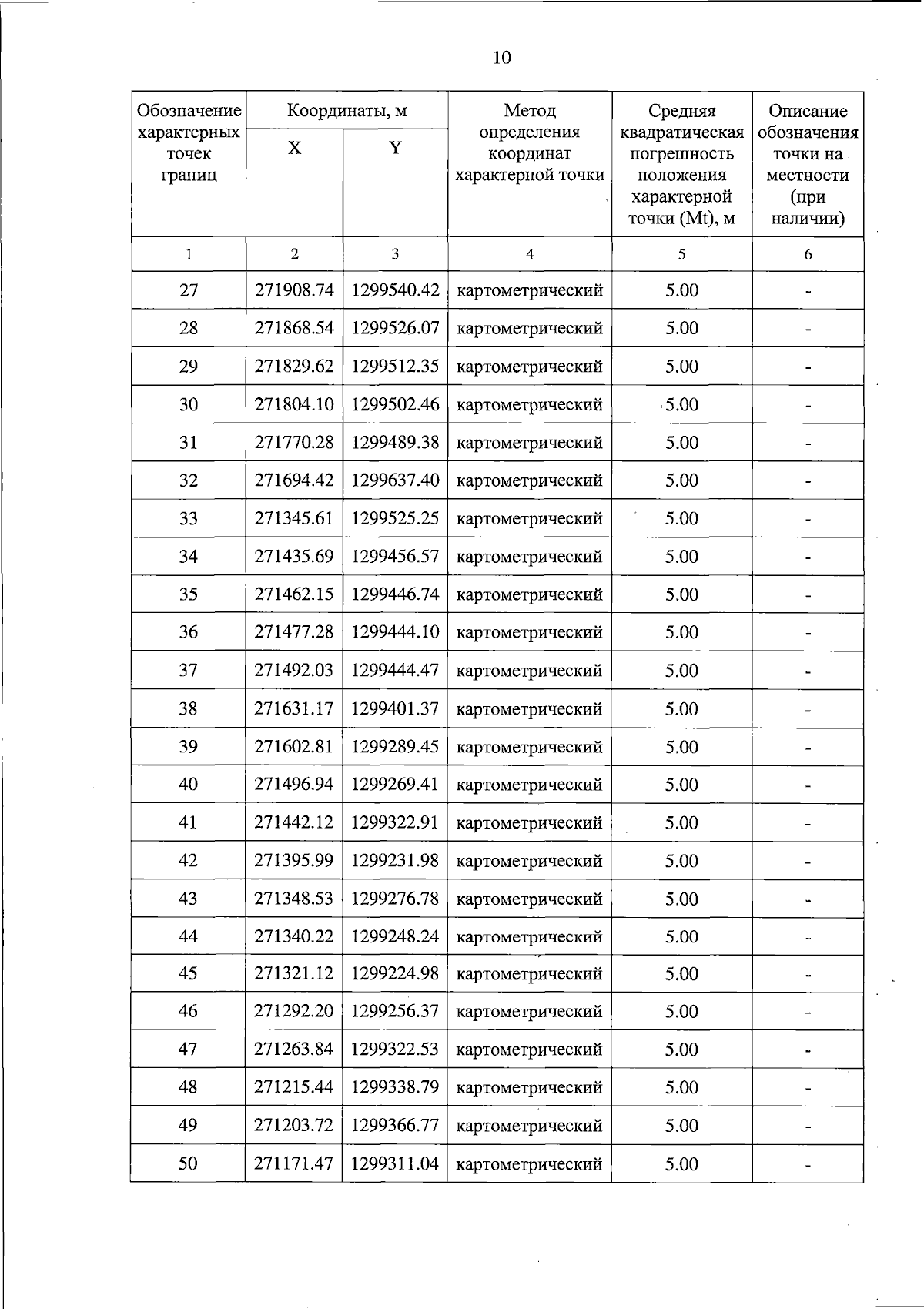
Постановление Правительства Тверской области от 17.12.2024 № 580-пп
"Об особо охраняемой природной территории регионального значения – государственном природном заказнике "Болото Зеленинское"
Номер опубликования: 6900202412170001
Дата опубликования: 17.12.2024
Страница №10 из 14:
Увеличить