Официальное опубликование правовых актов
ОФИЦИАЛЬНОЕ ОПУБЛИКОВАНИЕ
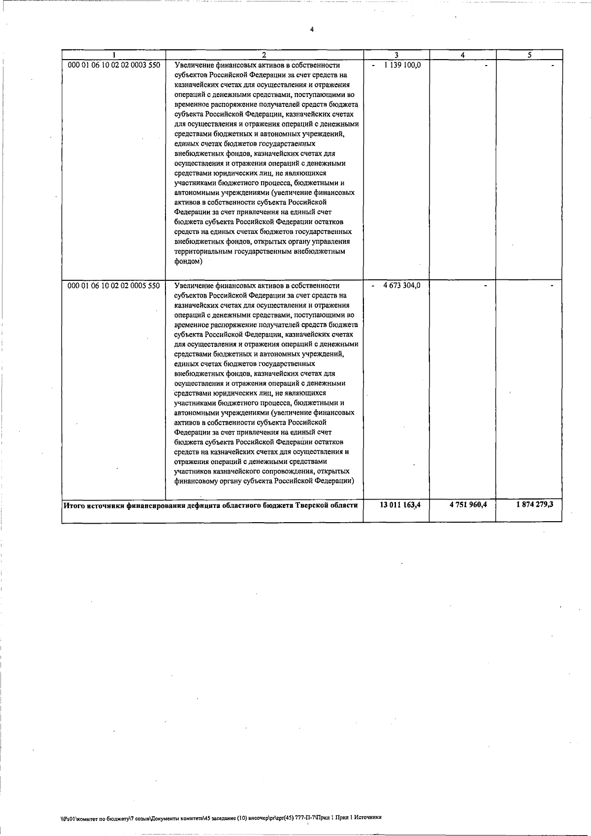
Закон Тверской области от 08.10.2024 № 35-ЗО
"О внесении изменений в закон Тверской области "Об областном бюджете Тверской области на 2024 год и на плановый период 2025 и 2026 годов"
Номер опубликования: 6900202410080003
Дата опубликования: 08.10.2024
Страница №22 из 451:
Увеличить