Официальное опубликование правовых актов
ОФИЦИАЛЬНОЕ ОПУБЛИКОВАНИЕ
Постановление Правительства Тверской области от 11.07.2024 № 334-пп
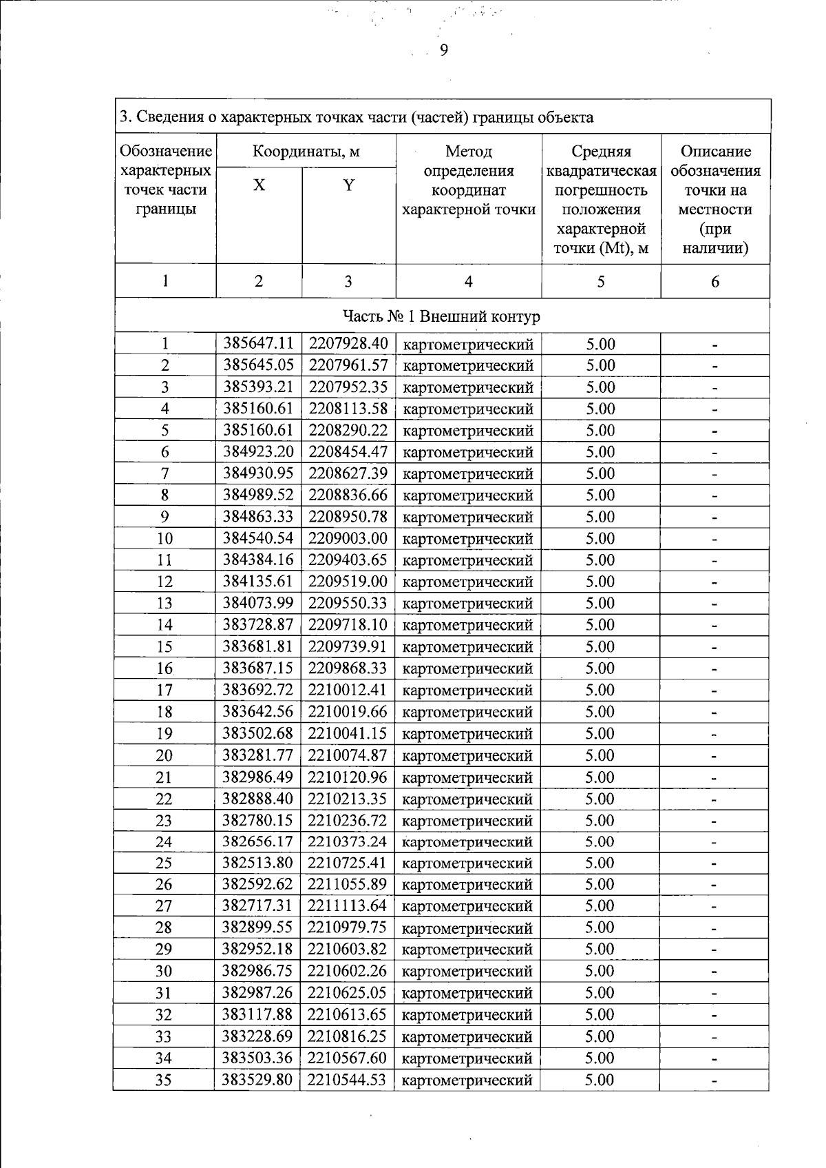
"Об особо охраняемой природной территории регионального значения – государственном природном заказнике "Болото Ревенка"
Номер опубликования: 6900202407160024
Дата опубликования: 16.07.2024
Страница №9 из 17:
Увеличить