Официальное опубликование правовых актов
ОФИЦИАЛЬНОЕ ОПУБЛИКОВАНИЕ
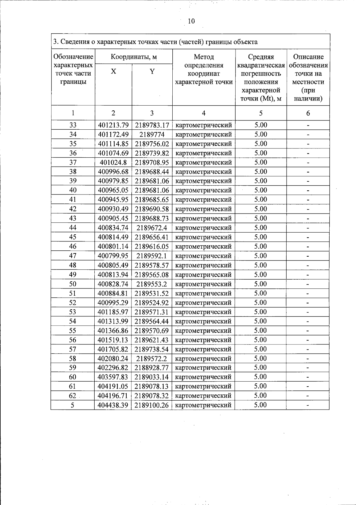
Постановление Правительства Тверской области от 11.07.2024 № 337-пп
"Об особо охраняемой природной территории регионального значения – памятнике природы "Озеро Желибье и лесные массивы вокруг него"
Номер опубликования: 6900202407160018
Дата опубликования: 16.07.2024
Страница №10 из 12:
Увеличить