Распоряжение Правительства Тверской области от 28.06.2024 № 738-рп
"О внесении изменений в документацию по планировке территории линейного объекта: "Строительство магистрального водопровода диам. 600 мм от ул. Седова до дюкера через р. Волга, 2315 п.м."
"О внесении изменений в документацию по планировке территории линейного объекта: "Строительство магистрального водопровода диам. 600 мм от ул. Седова до дюкера через р. Волга, 2315 п.м."
Номер опубликования: 6900202406280015
Дата опубликования:
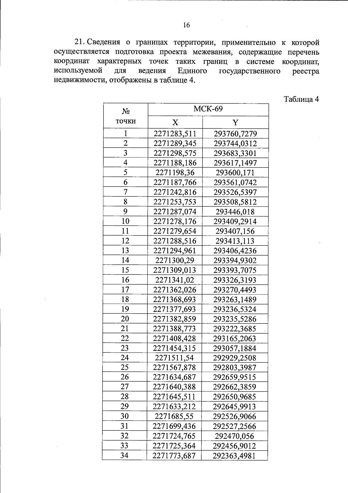
28.06.2024
