Официальное опубликование правовых актов
ОФИЦИАЛЬНОЕ ОПУБЛИКОВАНИЕ
Распоряжение Правительства Тверской области от 28.06.2024 № 709-рп
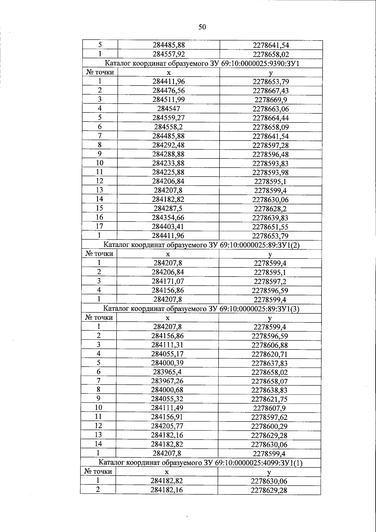
"Об утверждении документации по планировке территории линейного объекта "Реконструкция автомобильной дороги общего пользования межмуниципального значения от промышленной зоны "Боровлево-2" до "ПК Аквариус"
Номер опубликования: 6900202406280001
Дата опубликования: 28.06.2024
Страница №50 из 68:
Увеличить