Официальное опубликование правовых актов
ОФИЦИАЛЬНОЕ ОПУБЛИКОВАНИЕ
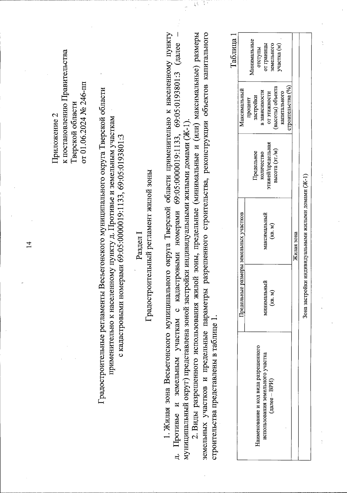
Постановление Правительства Тверской области от 01.06.2024 № 246-пп
"Об утверждении правил землепользования и застройки Весьегонского муниципального округа Тверской области применительно к населенному пункту д. Противье и земельным участкам с кадастровыми номерами 69:05:0000019:1133, 69:05:0193801:3"
Номер опубликования: 6900202406030004
Дата опубликования: 03.06.2024
Страница №14 из 28:
Увеличить