Официальное опубликование правовых актов
ОФИЦИАЛЬНОЕ ОПУБЛИКОВАНИЕ
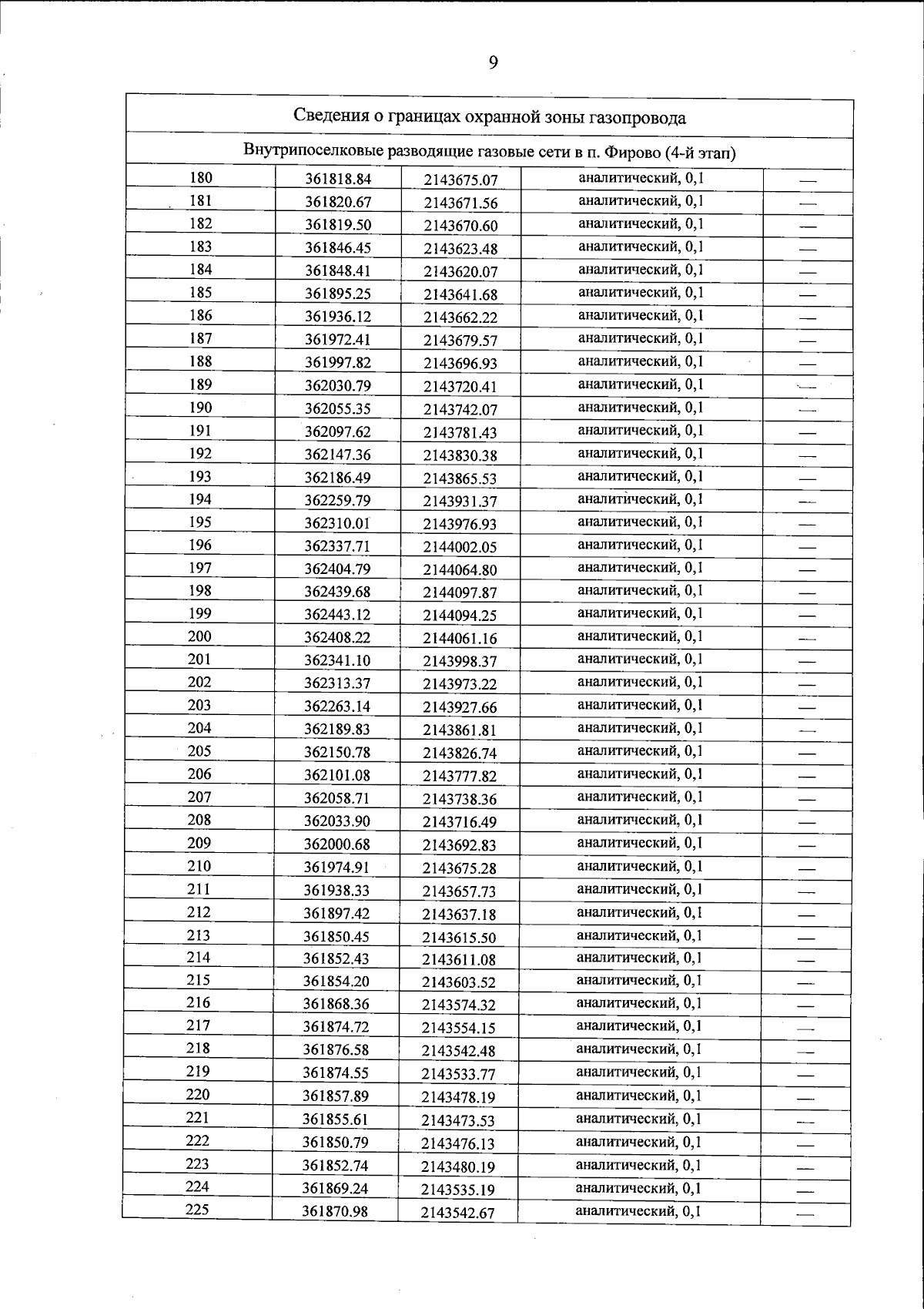
Постановление Правительства Тверской области от 28.05.2024 № 242-пп
"Об установлении охранной зоны газопровода"
Номер опубликования: 6900202405290009
Дата опубликования: 29.05.2024
Страница №9 из 21:
Увеличить