Официальное опубликование правовых актов
ОФИЦИАЛЬНОЕ ОПУБЛИКОВАНИЕ
Постановление Правительства Тверской области от 26.04.2024 № 176-пп
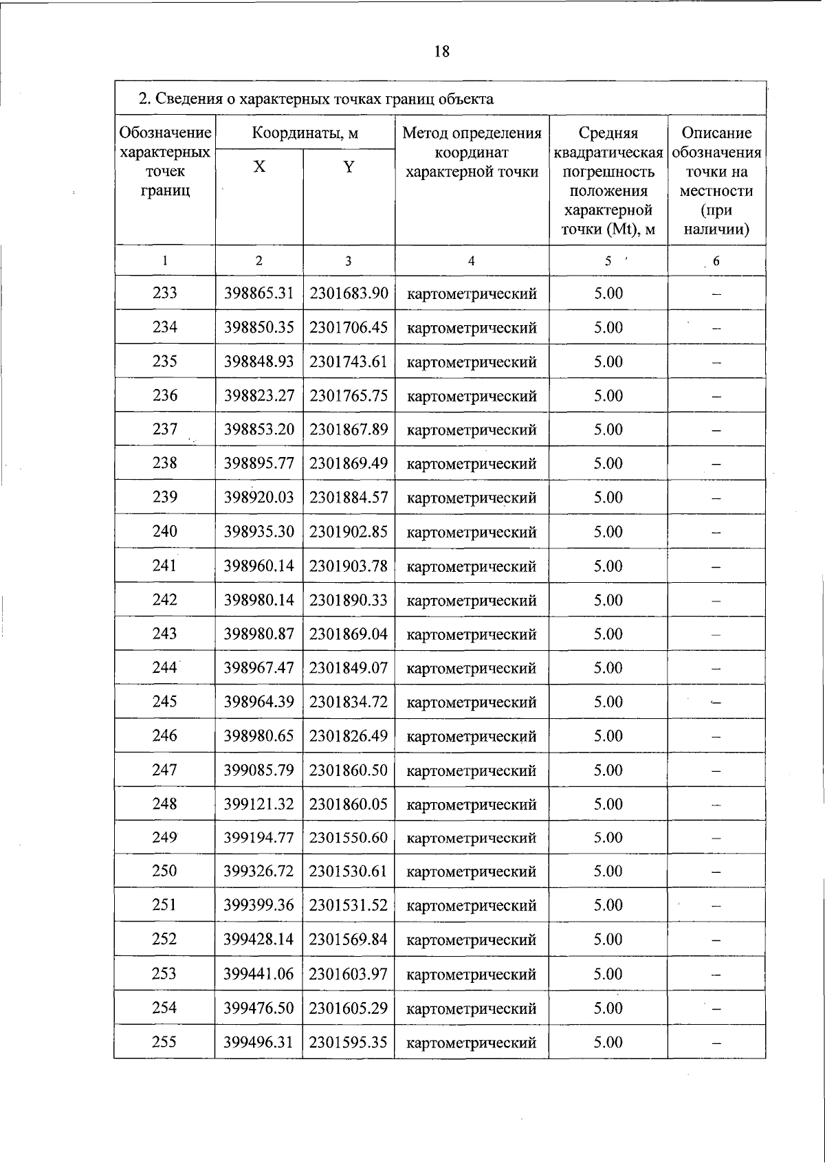
"Об утверждении Паспорта особо охраняемой природной территории регионального значения – памятника природы "Болото Михалинский Мох"
Номер опубликования: 6900202404270009
Дата опубликования: 27.04.2024
Страница №18 из 22:
Увеличить