Официальное опубликование правовых актов
ОФИЦИАЛЬНОЕ ОПУБЛИКОВАНИЕ
Постановление Правительства Тверской области от 26.04.2024 № 161-пп
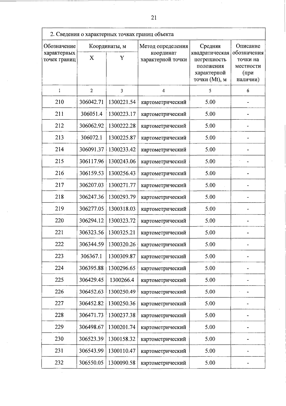
"Об особо охраняемой природной территории регионального значения – государственном природном заказнике "Уревы"
Номер опубликования: 6900202404270005
Дата опубликования: 27.04.2024
Страница №21 из 42:
Увеличить