Официальное опубликование правовых актов
ОФИЦИАЛЬНОЕ ОПУБЛИКОВАНИЕ
Постановление Правительства Тверской области от 26.01.2024 № 27-пп
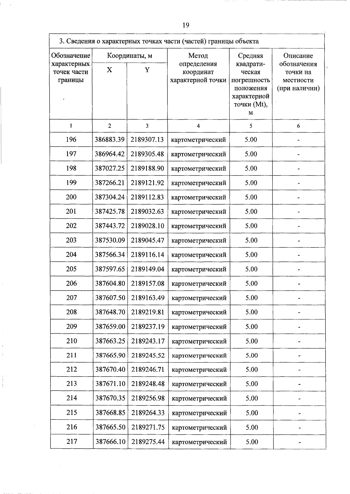
"Об особо охраняемой природной территории регионального значения – памятнике природы "Озеро Мстино с истоком реки Мсты"
Номер опубликования: 6900202401290013
Дата опубликования: 29.01.2024
Страница №19 из 32:
Увеличить