Официальное опубликование правовых актов
ОФИЦИАЛЬНОЕ ОПУБЛИКОВАНИЕ
Постановление Правительства Тверской области от 26.01.2024 № 29-пп
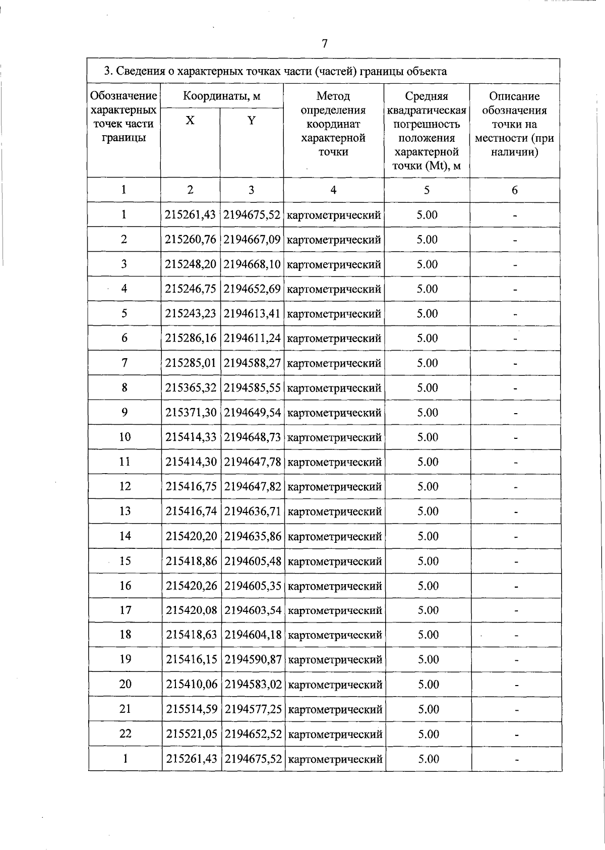
"Об утверждении Паспорта особо охраняемой природной территории регионального значения – памятника природы "Парк Зубцовский"
Номер опубликования: 6900202401290010
Дата опубликования: 29.01.2024
Страница №7 из 9:
Увеличить