Официальное опубликование правовых актов
ОФИЦИАЛЬНОЕ ОПУБЛИКОВАНИЕ
Постановление Правительства Тверской области от 15.01.2024 № 11-пп
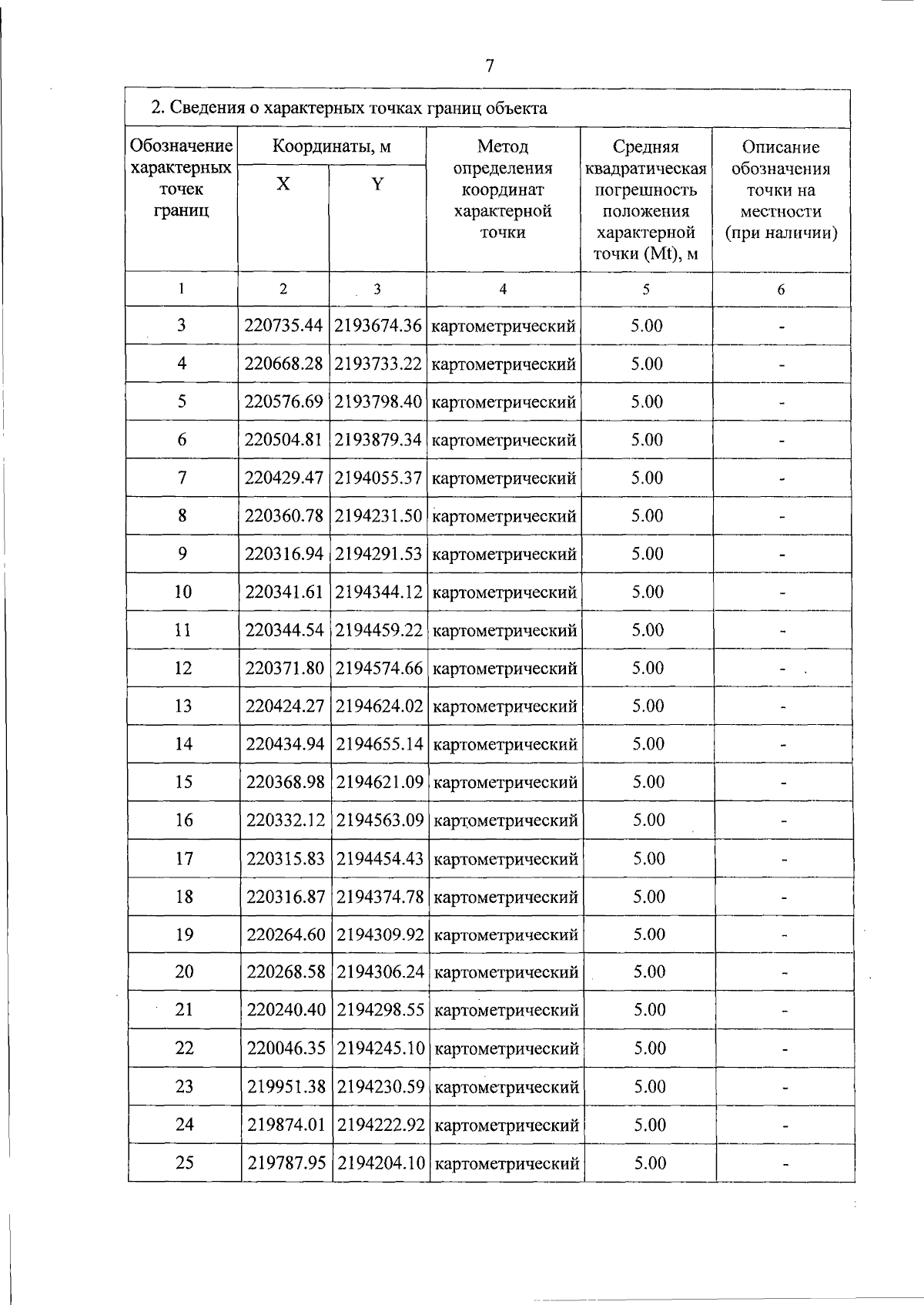
"Об утверждении Паспорта особо охраняемой природной территории регионального значения – памятника природы "Овраг Костинский"
Номер опубликования: 6900202401150005
Дата опубликования: 15.01.2024
Страница №7 из 15:
Увеличить