Официальное опубликование правовых актов
ОФИЦИАЛЬНОЕ ОПУБЛИКОВАНИЕ
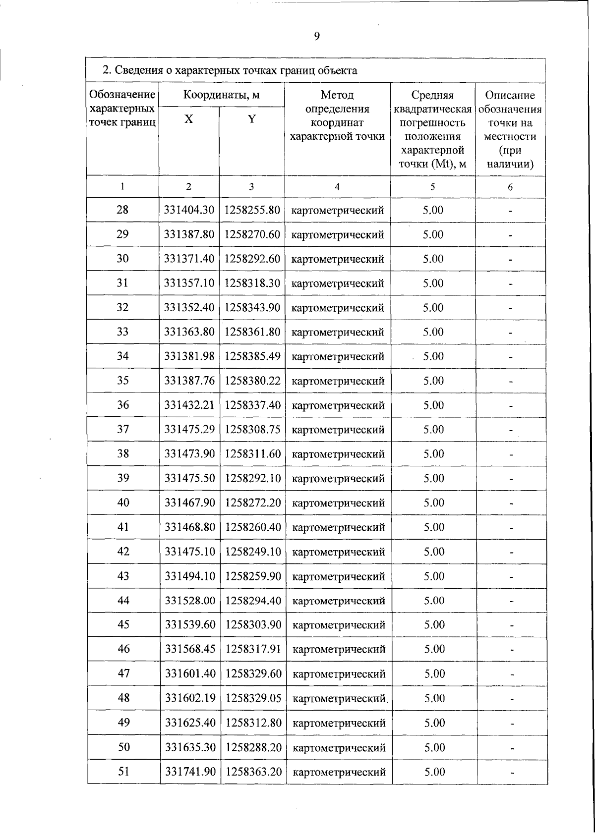
Постановление Правительства Тверской области от 15.01.2024 № 12-пп
"Об особо охраняемой природной территории регионального значения – памятнике природы "Озеро Ветрицы и лесные насаждения вокруг"
Номер опубликования: 6900202401150004
Дата опубликования: 15.01.2024
Страница №9 из 16:
Увеличить