Распоряжение Правительства Тверской области от 07.12.2023 № 1549-рп
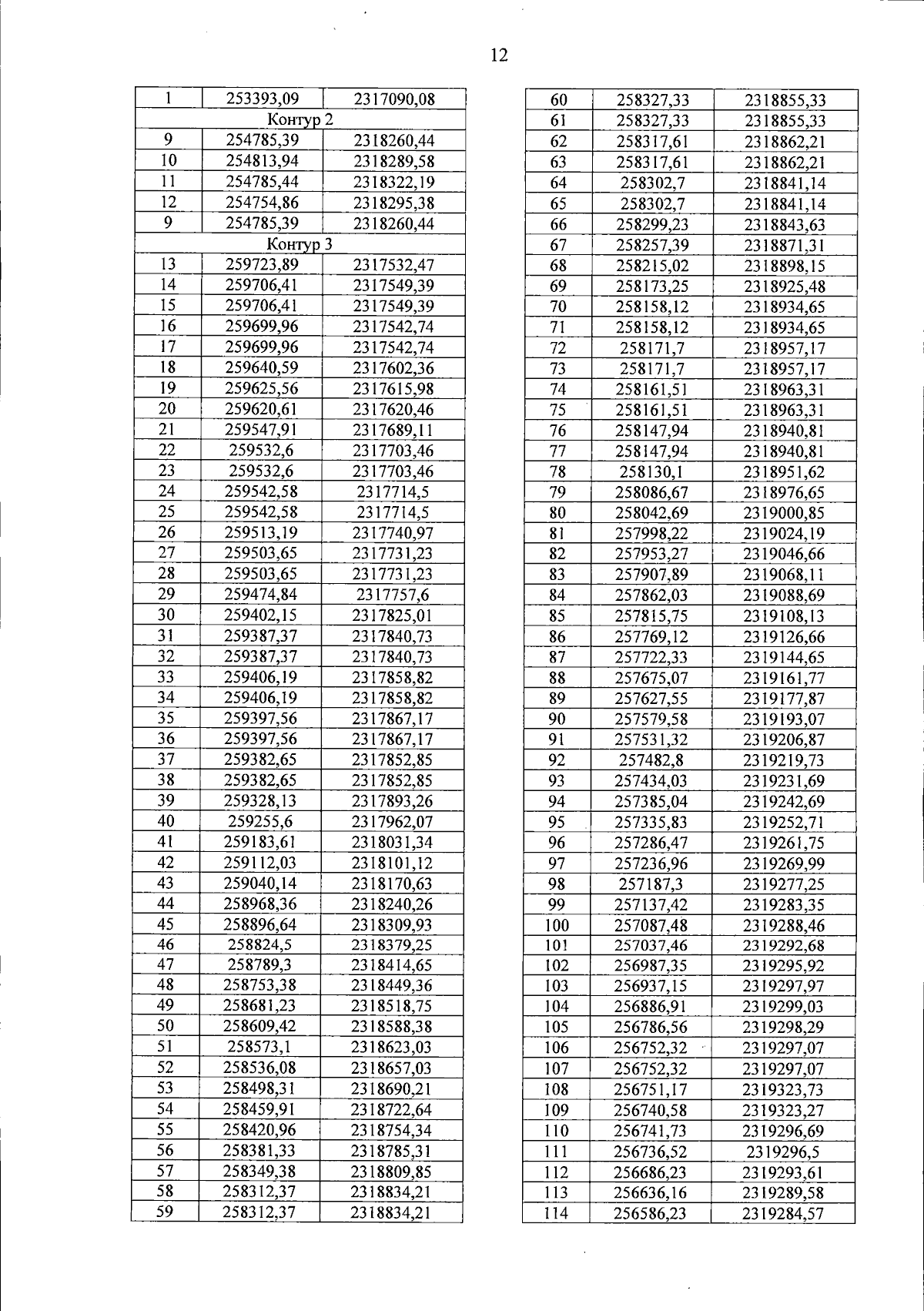
"Об утверждении документации по планировке территории линейного объекта "Организация пассажирского сообщения от станции Москва – Октябрьская – Пассажирская до проектируемого ТПУ "Завидово" через остановочный пункт Путепроводная Октябрьской железной дороги"
"Об утверждении документации по планировке территории линейного объекта "Организация пассажирского сообщения от станции Москва – Октябрьская – Пассажирская до проектируемого ТПУ "Завидово" через остановочный пункт Путепроводная Октябрьской железной дороги"
Номер опубликования: 6900202312080007
Дата опубликования:
08.12.2023
