Официальное опубликование правовых актов
ОФИЦИАЛЬНОЕ ОПУБЛИКОВАНИЕ
Распоряжение Правительства Тверской области от 07.12.2023 № 1532-рп
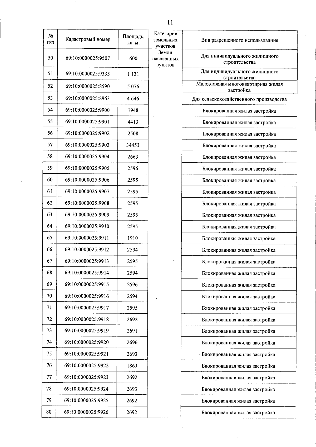
"Об утверждении документации по планировке территории жилой застройки в границах земельных участков 69:10:0000025:7922 – :7933, 69:10:0000025:7935 – :7941, 69:10:0000025:8590, 69:10:0000025:8963, 69:10:0000025:9335, 69:10:0000025:9209, 69:10:0000025:9479 – :9507, 69:10:0000025:9900 – :9945 по адресу: Тверская область, Калининский муниципальный округ, д. Володино"
Номер опубликования: 6900202312080001
Дата опубликования: 08.12.2023
Страница №11 из 18:
Увеличить