Официальное опубликование правовых актов
ОФИЦИАЛЬНОЕ ОПУБЛИКОВАНИЕ
Распоряжение Правительства Тверской области от 23.10.2023 № 1325-рп
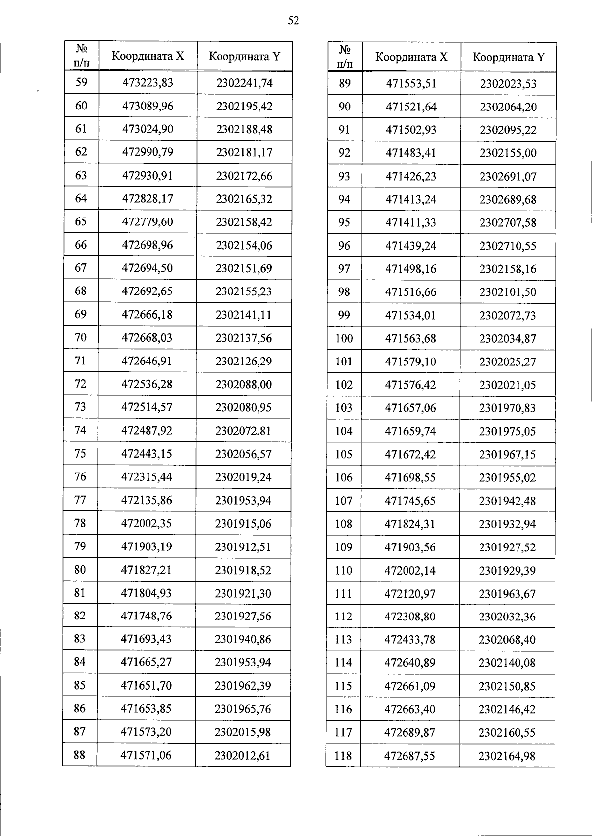
"Об утверждении документации по планировке территории линейного объекта "Газопровод межпоселковый высокого давления ГРС Устюжна (Вологодская область) – п. Сандово Сандовского района Тверской области (участок Тверской области)"
Номер опубликования: 6900202310230005
Дата опубликования: 23.10.2023
Страница №52 из 54:
Увеличить