Официальное опубликование правовых актов
ОФИЦИАЛЬНОЕ ОПУБЛИКОВАНИЕ
Распоряжение Правительства Тверской области от 27.12.2022 № 1472-рп
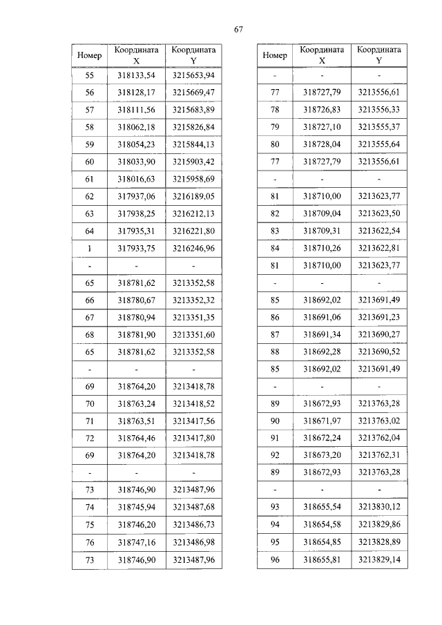
"Об утверждении документации по планировке территории линейного объекта "Газопровод межпоселковый от д. Высоково до д. Устиново, с отводами к нп Спасское, Большое Плутково, Малое Плутково, Дуброво, Медвежье, Конищево, Жуковка, Юряхино Калязинского муниципального района Тверской области"
Номер опубликования: 6900202212280021
Дата опубликования: 28.12.2022
Страница №67 из 157:
Увеличить