Постановление Правительства Тверской области от 04.12.2020 № 622-пп
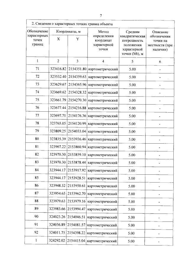
"Об утверждении графического описания местоположения границ особо охраняемой природной территории регионального значения – государственного природного заказника "Болото Фишковский Мох"
"Об утверждении графического описания местоположения границ особо охраняемой природной территории регионального значения – государственного природного заказника "Болото Фишковский Мох"
Номер опубликования: 6900202012070051
Дата опубликования:
07.12.2020
