Официальное опубликование правовых актов
ОФИЦИАЛЬНОЕ ОПУБЛИКОВАНИЕ
Постановление Правительства Тверской области от 04.12.2020 № 587-пп
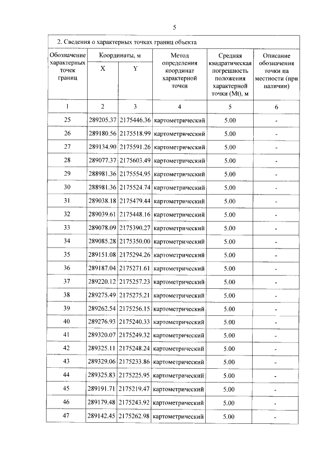
"Об утверждении графического описания местоположения границ особо охраняемой природной территории регионального значения – государственного природного заказника "Болото Лыткинский Мох"
Номер опубликования: 6900202012070036
Дата опубликования: 07.12.2020
Страница №5 из 9:
Увеличить