Официальное опубликование правовых актов
ОФИЦИАЛЬНОЕ ОПУБЛИКОВАНИЕ
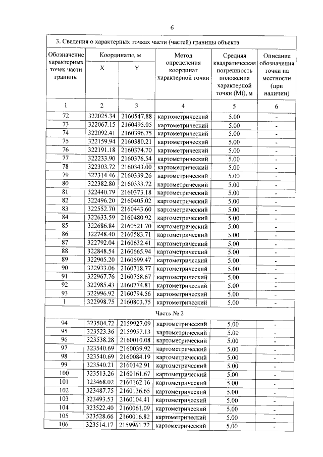
Постановление Правительства Тверской области от 04.12.2020 № 588-пп
"Об утверждении графического описания местоположения границ особо охраняемой природной территории регионального значения – государственного природного заказника "Болото Мишнев Мох"
Номер опубликования: 6900202012070033
Дата опубликования: 07.12.2020
Страница №6 из 10:
Увеличить