Официальное опубликование правовых актов
ОФИЦИАЛЬНОЕ ОПУБЛИКОВАНИЕ
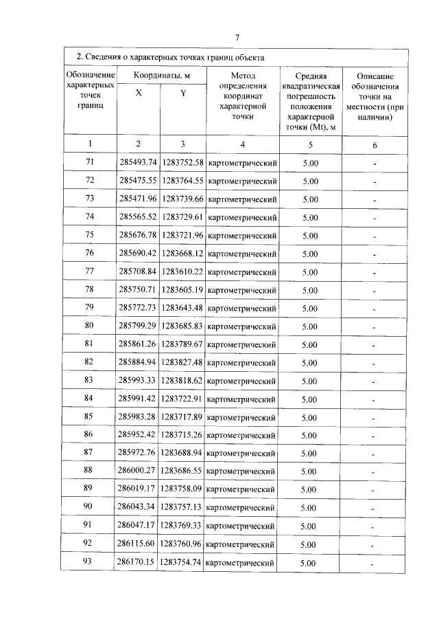
Постановление Правительства Тверской области от 04.12.2020 № 611-пп
"Об утверждении графического описания местоположения границ особо охраняемой природной территории регионального значения – государственного природного заказника "Болото Мишковский Мох"
Номер опубликования: 6900202012070030
Дата опубликования: 07.12.2020
Страница №7 из 10:
Увеличить