Официальное опубликование правовых актов
ОФИЦИАЛЬНОЕ ОПУБЛИКОВАНИЕ
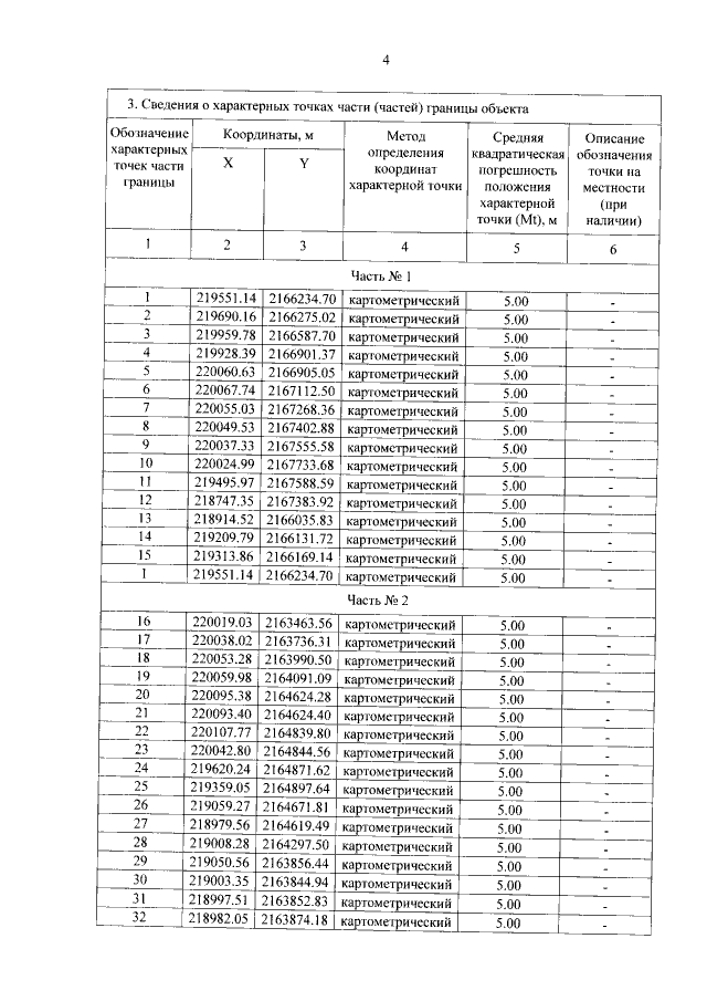
Постановление Правительства Тверской области от 04.12.2020 № 579-пп
"Об утверждении графического описания местоположения границ особо охраняемой природной территории регионального значения – памятника природы "Дача Мончалово"
Номер опубликования: 6900202012070017
Дата опубликования: 07.12.2020
Страница №4 из 14:
Увеличить