Официальное опубликование правовых актов
ОФИЦИАЛЬНОЕ ОПУБЛИКОВАНИЕ
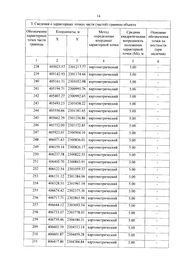
Постановление Правительства Тверской области от 04.12.2020 № 583-пп
"Об утверждении графического описания местоположения границ особо охраняемой природной территории регионального значения – государственного природного заказника "Костюшинское"
Номер опубликования: 6900202012070008
Дата опубликования: 07.12.2020
Страница №14 из 20:
Увеличить